Cesar, un 10 en la tarea, que no podía abrir el archivo que le mande y solo veía los tres primeros ejercicios. Muchas gracias.
OLE JULIOOOOO, me alegro muchísimo!!
Ayer preferí mantenerme en silencio porque ponerte un 3 en esa tarea era para echarla del colegio/instituto por muy arquitecta que sea jaja
No te iba a aportar nada diciéndote eso, sólo echaría leña al fuego...me mosqueé realmente al ver que te valoraran tan injustamente ;)
Todo esfuerzo tiene su recompensa...si no de manera inmediata, a la larga!
Paciencia y como te dije hace semanas...ni te plantees en dejarlo se tope quien se tope en tu camino
Prontito empezarás a disfrutar con los números y no te podrás "desenganchar"
Un saludo crack, enhorabuena por tu 10 ;)
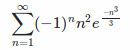
¿La serie siguiente converge o diverge?
He intentado
utilizar la prueba alterna de la serie, pero no pude encontrar una
función útil para usar como bn y no hay otras pruebas que conozco
parecen ser útiles para llegar a la conclusión de si es convergente o
divergente.
Hola Unicoos, cómo se resuelve este ejercicios:
A dos pacientes uno femenino y otro masculino se le administran al mismo tiempo 500 mg y 250 mg de un medicamento respectivamente. Si el medicamento es absorbido por la mujer a razón de 30 mg/hora y por el hombre a 80 mg/hora ¿ en qué instante la concentración del fármaco es la misma en ambos pacientes? Gracias!!

Problema de ecuación diferencial
Para el hombre:
-Se plantea que el ritmo de cambio del medicamento con el tiempo es igual a 80 mg/h, es decir:
dm/dt = 80
Pasamos dt a multiplicar a 80
dm = 80.dt
Integramos en ambos miembros
∫dm = 80. ∫dt
m + c1 = 80t + c2
Luego:
m = 80t + c2 - c1
Como c2-c1 me daría otra constante, simplemente a esa resta la llamo c, que no es más que otra constante
m(t) = 80t + c (1)
En t=0 al hombre le dan 250 mg, hacemos t =0
m(0) = 80.(0) + c = 250
C= 250
Para la mujer el mismo procedimiento:
dm/dt = 30
dm = 30dt
∫dm = 30∫dt
m + k1 = 30t + k2
m = 30t + k2-k1
reemplazo k=k2 - k1
m(t) = 30t + k (2)
En t=0 a la mujer se le da 500 mg
m(0) = 30(0) + k = 500
k = 500
Igualo (1) y (2) reemplazando lo que me dió k y c en sus respectivas ecuaciones y despejo t
80t + c = 30t + k
80t + 250 = 30t + 500
80t - 30t = 500 - 250
50t = 250
t = 250/50
t = 5h
Tras 5 horas la concentración de fármaco será la misma en ambos cuerpos...espero haberte ayudado