![]()
![]()
![]()
![]()
Maths , Antonio me a ocurrido que he mandado la tarea de vectores que hemos echo aquí ejercicio por ejercicio y solo me ha puntuado un 3. Me tiene las ganas quitada de verdad esta señora de seguir estudiando.
La subo tal cual se la he mandado.
Un saludo, gracias.
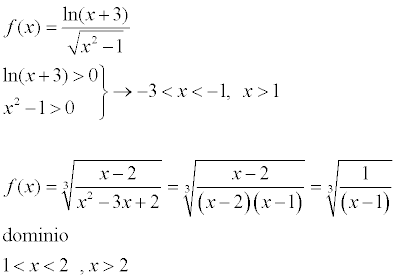
Julio esta todo bien, pero cuando uses raices no las calcules racionaliza y si estna en el numerador simplifica todo lo que puedas [√8=2√2] , no se los criterios que tiene para corregir.
No dejes 0.5 pon 1/2 . Eso quizas se lo único que te veo no muy correcto, pregunta por que ese 3.
Pero de forma indudable has trabajado mucho, solo esos pequeños detalles.

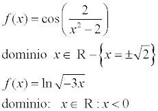
Existe coseno de cualquier número real, lo que hay garantizar es la existencia de este.
Tu lo estas condicionando a que el argumento sea positivo, pero también puede ser negativo, incluso cero
Entonces acá la única restricción es que el denominador sea diferente de cero , esto último ocurre para x= sqrt(2) o x= - sqrt(2)
Dominio = R - { - sqrt(2) , sqrt(2) }
El segundo está bien
En el tercera no esta bien resuelta
- 3x > 0
Para que el producto sea positivo entonces x debe ser negativo y esa es la solución
Dominio = ( - infinito , 0)
Si es perpendicular a el plano y pasa por el punto de corte de las
rectas, solo tenes que encontrar ese punto de corte, y el vector normal
al plano, ya que este le dara la direccion a la recta (los coeficientes
que acompañan a las variables x, y, z) Si me dio bien seria
(x,y,z)=(-7/3,-11/3/11/3)+t.(1,-1,1)
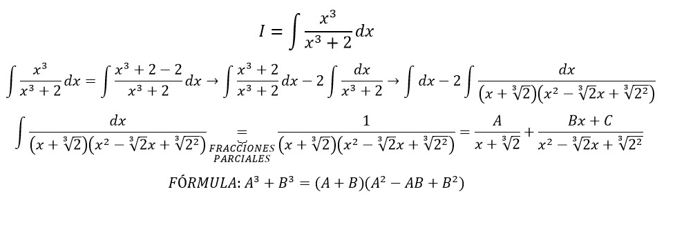
La integral x al cubo partido x al cubo mas dos no la consigo resolver por ningún cambio de variable
Hola unicoos, me pueden ayudar a resolverlo,
lo debo representar o algo así para averiguar el doinio? No sé cómo hacerlo.
Muchas gracias
Ayuda por favor, es urgente!!! El centro de un hexágono es el punto A (6, -2) y un lado se encuentra sobre la recta de ecuación -4x + 3y + 5 = 0. Determina las coordenadas de los vértices y el área.
Necesito ayuda con este ejercicio... dice que resuelva el sistema homogéneo:
x+y+z+u=0
2x-3y-z-u=0
-x-y+2z-u=0
2x-3y+2z+u=0
gracias!