Foro de preguntas y respuestas de Matemáticas

logo beUnicoos
Los foros de unicoos se han unificado en nuestra nueva plataforma beUnicoos. Para dejar nuevas preguntas deberás hacerlo allí, donde además podrás encontrar nuevas asignaturas y herramientas para ayudarte más con tus estudios.

  • icon

    Cory We Kat Gomez
    el 11/5/17

    En una asamblea todos deben votar a favor o en contra de una mocion .En una primera rueda ,los que votaron en contra ganaron por 20 votos; en una 2 vuelta se aprobó la moción por un diferencia de 10 votos .¿ cuantos asambleístas cambiaron de opinión? ..........Ayuda please!!

    replythumb_up0 voto/sflag
    icon

    Antonius Benedictus
    el 11/5/17


    thumb_up0 voto/sflag
  • icon

    Joaquin Serri
    el 11/5/17


    Hola, alguien podría resolver este ejercicio sin aplicar la regla de L'hopital'

    replythumb_up0 voto/sflag
    icon

    Axel Morales Piñón.
    el 11/5/17

    ¿Qué pide el ejercicio? ¿La derivada? 

    thumb_up0 voto/sflag
    icon

    Joaquin Serri
    el 11/5/17

    Si amigo

    thumb_up0 voto/sflag
    icon

    Axel Morales Piñón.
    el 11/5/17


    thumb_up0 voto/sflag
    icon

    Joaquin Serri
    el 11/5/17

    Muchas gracias




    thumb_up0 voto/sflag
  • icon

    Jose Manuel
    el 11/5/17

    Alguien me podría ayuddar con estos 3 ej? es que no comprendo como hacerlos

    replythumb_up0 voto/sflag
  • icon

    Carla Extremera Torras
    el 10/5/17

    Hola!!!! Algien me podría hacer y sobretodo explicar los pasos de cada cosa???? URGENTE!

    replythumb_up0 voto/sflag
    icon

    Antonius Benedictus
    el 10/5/17

    Te mando uno similar (cambia solo el dato numérico). Está en gallego, imagino que lo entenderás.


    thumb_up0 voto/sflag
  • icon

    Jose Manuel
    el 10/5/17

    Alguien me ayuda con el siguiente ejercicio?

    replythumb_up0 voto/sflag
    icon

    Antonius Benedictus
    el 10/5/17


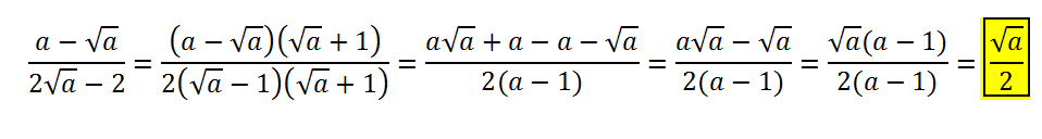
    thumb_up1 voto/sflag
  • icon

    DueFreitas
    el 10/5/17

    Profe es correcto que el unico punto de Infleccion de f(x)=(x^3)-(x^2)-x  sea P(3.15) ?

    replythumb_up0 voto/sflag
    icon

    Antonius Benedictus
    el 10/5/17

    Como f''(x)=6x-2

    El único punto de inflexión es x=1/3, f(1/3)=1/27-1/9-1/3=-11/27

    Punto (1/3, -11/27)


    thumb_up1 voto/sflag
    icon

    DueFreitas
    el 11/5/17

    Jeje que verguenza la desatencion mia en el despeje algebraico, Profe Gracias ! 

    thumb_up0 voto/sflag
  • icon

    Jordi García
    el 10/5/17

    Hola, ¿cómo se hace el apartado l (L) del ejercicio?


    Gracias.



    replythumb_up0 voto/sflag
    icon

    Antonius Benedictus
    el 10/5/17


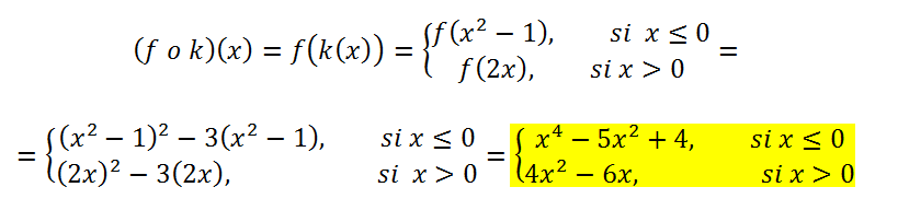
    thumb_up0 voto/sflag
  • icon

    Julian Rojas
    el 10/5/17


    replythumb_up0 voto/sflag
    icon

    Antonius Benedictus
    el 10/5/17

    1ª parte:


    thumb_up2 voto/sflag
    icon

    Antonio
    el 10/5/17

    Área del trapecio=(B+b)h/2

    - Sabemos que B = r

    - Calculemos h

    sen θ = h/r => h= rsenθ

    - Calculemos b

    vemos que el triángulo OBC es isósceles por lo que b=2a donde a es la base del triángulo ODC

    cos θ = a/r => a= rcosθ => b= 2rcosθ

    por lo tanto: Área del trapecio=(B+b)h/2 = (r+2rcosθ)rsenθ/2 = (r2senθ+2r2cosθsenθ)/2 = [r2(senθ+2cosθsenθ)]/2 =  r2/2(senθ+2cosθsenθ) = r2/2(senθ+sen2θ)


    thumb_up0 voto/sflag
  • icon

    :)
    el 10/5/17

    Hola me ayudan a demlstra el teorema fundamental del calculo de limites directo y reciproco gracias

    replythumb_up0 voto/sflag
    icon

    Antonius Benedictus
    el 10/5/17

    Ginger : pon una foto original de la tarea.

    thumb_up0 voto/sflag
    icon

    :)
    el 11/5/17

    ANTONIO OTRA FOTO ES IMPOSIBLE ES LA FOTO DEL PIZARRON HECHA X MI PROFESOR ES LA UNICA Q TENGO PERO MUCHAS GRACIAS

    thumb_up0 voto/sflag
  • icon

    Diego Schwindt
    el 10/5/17

    Buenas tardes, tengo este ejercicio. Muchas gracias

    replythumb_up0 voto/sflag
    icon

    Antonius Benedictus
    el 10/5/17


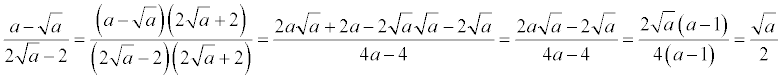
    thumb_up1 voto/sflag
    icon

    César
    el 10/5/17


    thumb_up1 voto/sflag