Foro de preguntas y respuestas de Matemáticas

logo beUnicoos
Los foros de unicoos se han unificado en nuestra nueva plataforma beUnicoos. Para dejar nuevas preguntas deberás hacerlo allí, donde además podrás encontrar nuevas asignaturas y herramientas para ayudarte más con tus estudios.

  • icon

    Karina
    el 7/5/17

    buenas.

    estoy en 2 de ESO y pues me gustaría que me resolvierais una duda que tengo:

    estoy dando ecuaciones de segundo grado completas y con una formula a seguir:

    -b±√b²-4•a•c/ 2•a

    y pues me gustaria sabes que si la b de dentro de la raíz se sustituye por un numero negativo al cuadrado, el resultado seria positivo o negativo?

    ej: b²= -6²= 36/-36?


     

    replythumb_up0 voto/sflag
    icon

    Antonio
    el 7/5/17

    positivo

    thumb_up1 voto/sflag
  • icon

    Nacho
    el 7/5/17


    me dan una mano con este. porfa.

    ESTOY intentando integrar sen(x)/x pero no se si es eso no logro sacar lo de la b y a.


    replythumb_up0 voto/sflag
    icon

    Antonius Benedictus
    el 7/5/17


    thumb_up0 voto/sflag
  • icon

    Paola
    el 7/5/17

    Cómo se haría el apartado c??? Muchas gracias !

    replythumb_up1 voto/sflag
    icon

    Antonio
    el 7/5/17

    al menos 3 es lo mismo que 3 o más, es decir 3 o 4 o 5 o 6

    thumb_up0 voto/sflag
  • icon

    Manuel
    el 7/5/17

    No entiendo este ejercicio

     

    replythumb_up0 voto/sflag
    icon

    Antonio
    el 7/5/17

    Dos formas de hacerlo:

    a)

    calcula el plano que es perpendicular a r y que pasa por P

    lo interceptas con la recta para encontrar la proyección ortogonal del P sobre r

    calculas la recta que pasa põe ese punto y P

    b)

    Construye un punto genérico de r (en función de un parámetro)

    calcula el vector entre ese punto y P

    este vector es perpendicular a la recta con lo que el producto escalar de él por el vector director de la recta es cero

    con esta condición obtienes el parámetro y solo tienes que sustituir  para calcular el punto que es la proyección ortogonal del P sobre r

    calculas la recta que pasa por ese punto y P

    thumb_up0 voto/sflag
    icon

    Antonio
    el 8/5/17

    Hay un fallo en la solución, el punto es ( -1, -4, 6 )


    thumb_up0 voto/sflag
  • icon

    Juan Antonio
    el 7/5/17

    Cómo puedo hacer este problema? 

    replythumb_up0 voto/sflag
    icon

    Guillem Figols
    el 7/5/17

    Haz una regla de 3:  Si en una 1h. ---> 80 camisetas

                                                        2h + 15min(pasalos a h. y sumalos al 2) ---->  x camisetas

    thumb_up0 voto/sflag
    icon

    María
    el 7/5/17

    Con una regla de tres simple no sirve, de ser así al tratarse de tres horas (es decir, 180 minutos) se producirían 240 camisetas y no es así. 

    thumb_up0 voto/sflag
    icon

    Juan Antonio
    el 7/5/17

    Es de programación lineal, pero no sé plantearlo.

    thumb_up0 voto/sflag
    icon

    Ángel
    el 7/5/17

    En los 120 minutos que pasan de la 1ªhora a la 3ª se hacen 140-80=60 camisetas

    60/120=1/2 camiseta cada minuto=m

    Desde los 60 minutos (1 hora) hasta las 2 horas y cuarto pasan 75 minutos=x

    A la hora ya había 80 camisetas hechas= n

    y=mx+n

    y=(1/2)*75 + 80

    y=75/2 + 80

    y=117.5 117 camisetas 

    thumb_up1 voto/sflag
  • icon

    María
    el 7/5/17

    Hola necesito ayuda con este ejercicio. ¡¡Muchas gracias!!

    Queremos determinar el porcentaje de estudiantes que necesitan gafas. De un estudio realizado hace tres años sabemos que el 65 % de ellos usaban gafas.

    a) ¿Qué tamaño de muestra debemos coger para cometer un error máximo del 5 % con un nivel de riesgo del 5 %?

    b) Si no tenemos información previa, ¿qué tamaño de muestra debemos tomar? 

    replythumb_up0 voto/sflag
    icon

    Antonius Benedictus
    el 7/5/17

    icon

    María
    el 8/5/17

    Muchas gracias, pero ¿cómo se aplicaría esa teoría en el apartado a? con los datos que dan habría que plantear la desviación típica como 65 y el error como 5? y ¿cómo se conoce el tamaño muestral que se ha de tomar en caso de no conocer la información?

    thumb_up0 voto/sflag
  • icon

    Ainara Romero Plaza
    el 7/5/17

    Hola! Necesito ayuda con un ejercicio que no soy capaz de resolver, ahí lo dejo: 

    En una pequeña ciudad hay dos bibliotecas. En la primera, el 50% de los libros son novelas, mientras que en la segunda son el 70%. Un lector elige al azar una biblioteca siguiendo un método que implica que la probabilidad de elegir la primera biblioteca es el triple que la de elegir la segunda. Una vez llega a la biblioteca seleccionada, elige un libro al azar, novela o no. 

    a) calcule la probabilidad de que sea novela.

    b) sabiendo que el libro seleccionado es una novela, obtén la probabilidad de que haya acudido a la primera biblioteca.

    Espero vuestra respuesta. Muchas gracias. Un saludo

    replythumb_up0 voto/sflag
    icon

    María
    el 7/5/17

    El ejercicio es de selectividad del año 2003, las dos imágenes son de lo mismo, espero que te sirva!!




    thumb_up0 voto/sflag
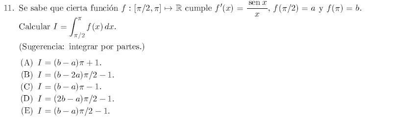
  • icon

    Juan Antonio
    el 7/5/17

    Cómo hallo la simetría de √(x+4) ?? Sé la manera de aplicarla a funciones polinómicas, pero tengo dudas aquí.

    replythumb_up0 voto/sflag
    icon

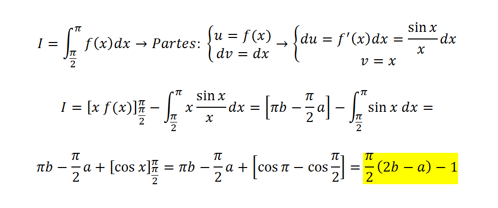
    Antonius Benedictus
    el 7/5/17

    Como el dominio (-4,+inf) no es simétrico, no pierdas el tiempo: No hay.

    Si no, harías igual. Comparas f(-x) con f(x).

    thumb_up2 voto/sflag
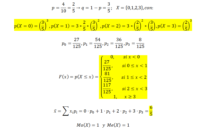
  • Usuario eliminado
    el 7/5/17

    Hola.

    ¿Me podéis ayudar con el apartado a? ¿Cómo saco la probabilidad de cada elemento?

    Solo he conseguido sacar las del 0 y del 3.




    replythumb_up0 voto/sflag
    icon

    Antonius Benedictus
    el 7/5/17


    thumb_up0 voto/sflag

    Usuario eliminado
    el 8/5/17

    Gracias Antonio. ¿Podrían sacarse usando combinatoria? ¿Me podrías explicar cómo?


    thumb_up0 voto/sflag
  • icon

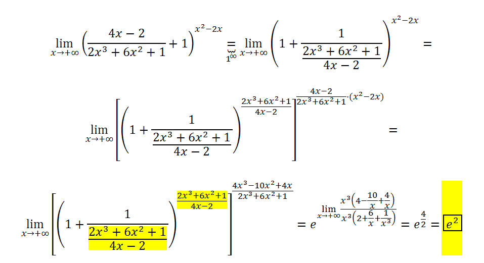
    Alex
    el 7/5/17

    Hola necesito ayuda con este límite. Tengo examen mañana 

    replythumb_up0 voto/sflag
    icon

    Antonius Benedictus
    el 7/5/17


    thumb_up1 voto/sflag