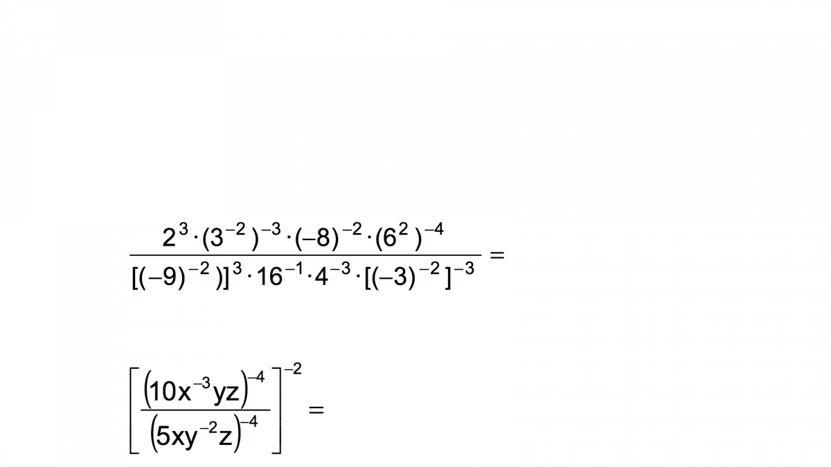
Una cantidad C se incrementa en un 15%. Al resultado se le aplica un descuento del 10% . se obtiene $155,25. Calcular C
buenas, tengo una duda teorica:
Sea V un espacio vectorial y W , W' dos subespacios vectoriales de V. Se define el subespacio suma W+W'. si un vector x pertenece al subespacio W + W', ¿ es verdad eso de que x se puede poner como x = w + w' , donde w pertenece a W y w' pertenece a W' ?
GRACIAS

Observa que tienes una expresión fraccionaria, cuyo numerador (N) y su denominador (D) tienden ambos a cero, por lo que tienes una indeterminación.
Luego planteamos las derivadas primeras del numerador y del denominador por separado:
N = ex - esenx, cuya derivada primera queda: N ' = ex - esenx*cosx;
D = 1 - cosx, cuya derivada primera queda: D ' = 0 - (- senx) = senx
Luego, aplicamos la Regla de L'Hôpital y planteamos:
Lím(x→0) (ex - esenx)/(1 - cosx) = aplicamos la regla = Lím(x→0) (ex - esenx*cosx)/(senx).
Observa que tenemos que el numerador tiende a cero, al igual que el denominador, por lo que tenemos una nueva indeterminación.
Luego, planteamos las derivadas segundas del numerador y del denominador por separado:
N ' ' = ex - esenx*cos2x + esenx*senx,
D ' ' = cosx.
Luego, volvemos a aplicar la Regla de L'Hôpital y tenemos:
Lím(x→0) (ex - esenx)/(1 - cosx) = Lím(x→0) (ex - esenx*cos2x + esenx*senx)/(cosx) = (1-1+0)/1 = 0.
Espero haberte ayudado.
En el siguiente ejercicio me pide: Halla los valores de a y b para que la gráfica de la función f(x)= ax3+bx2-36x+3 tenga un extremo relativo en x=2 y un punto de inflexión en x=1/2
Lo hice y la profesora me lo ha tachado sin decirme que estaba mal.¿Alguien me lo puede resolver?

Observa que la función es polinómica, por lo que es continua, y sus derivadas primera y segunda también son continuas en R.
Luego, las expresiones de las derivadas son:
f ' (x) = 3ax2 + 2bx - 36, evalúas para x = 2 y queda: f ' (2) = 12a + 4b - 36,
f ' ' (x) = 6ax + 2b, evalúas para x = 1/2 y queda: f ' ' (1/2) = 3a + 2b.
Luego, puedes plantear las condiciones de punto crítico (posible máximo o posible mínimo) y de posible punto de inflexión, respectivamente:
f ' (2) = 0
f ' ' (1/2) = 0
Luego sustituyes expresiones y queda el sistema de dos ecuaciones con dos incógnitas:
12a + 4b - 36 = 0
3a + 2b = 0,
cuya solución es (te dejo la tarea de resolver el sistema) es:
a = 6, b = - 9.
Espero haberte ayudado.
¿Las siguientes series convergen o divergen? Justificar.
![]()
¿Puedo hacer esto usando la prueba de comparación directa?
Considera
. Esta es una serie p con p = 1. Por la prueba de la serie p Σbk diverge, por lo tanto, por la prueba de comparación Σak diverge también.
Mi libro de
texto hace esto usando la prueba de comparación de límites preguntándome
si puedo hacerlo usando la prueba de comparación directa también. ¿Es esto correcto?
Ayuda con este!!!
Determine que números naturales entre 1 y 100 son posibles de generarse por la adición de 4 sumados de números consecutivos.

Llama x al primer número natural (consideramos que 0 es el primer número natural), luego tienes para la suma:
S = x + (x+1) + (x+2) + (x+3) = 4x + 6.
Luego, planteamos para la suma:
S ≤ 100, sustituyes la expresión de la suma y queda:
4x + 6 ≤ 100, haces pasaje de término y queda:
4x ≤ 94, haces pasaje de factor como divisor y queda:
x ≤ 47/2 = 23,5 < 24.
Luego, los posibles números naturales son: x = 0, 1, 2, 3, ... , 22 y 23.
Observa que la menor de las sumas es: S0 = 0 + 1 + 2 + 3 = 6,
y observa que la mayor de las sumas es: S23 = 23 + 24 + 25 + 26 = 98,
y observa que las posibles sumas son: S = 6, 10, 14, 18, 22, 26, 30, 34, 38, 42, 46, 50, 54, 58, 62, 66, 70, 74, 78, 82, 86, 90, 94 y 98.
Espero haberte ayudado.