Hola,
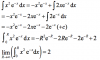
no entiendo de donde sale el 2 cuando se aplica la R. Tampoco entiendo de donde sale la R. Me lo podría explicar alguien?
Muchísimas gracias!
Ah, entonces cuando tengo una integral impropia siempro debo usar la R en vez de infinito como parametro?
Por cierto, no entiendo de donde sale el 2 pues en la línea anterior ( en la 3era linea de la foto ) cuando hago la integral obtengo lo mismo ( -2 e-x) no obtengo ningun 2... de dónde sale ?
Muchas gracias por contestar tan rápido!
Hola a todos,
Ayuda!
Tengo dentro de unas horas un examen de calculo y no entiendo el "boundary method" , el metodo límite ( no estoy segura de como se llama en español)
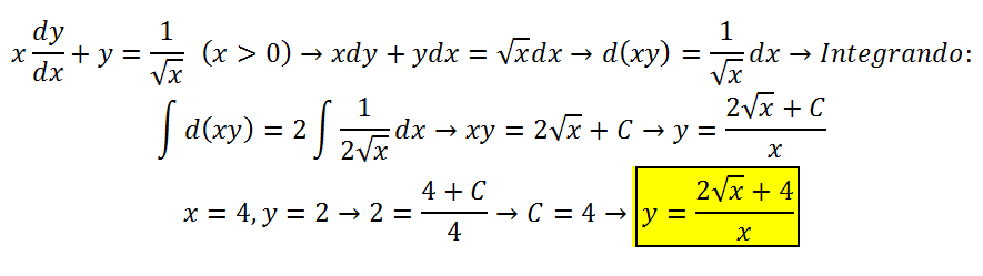
Aparece en las solucion del ejercicio siguiente:![]()

C es la constante de integración (obligatoria). Para determinar su valor, sustituimos las condiciones iniciales (x=4, y=2)
Hola disculpen, es que tengo una duda de como hacer la derivada de e^(x/y) por que cambia de signo a negativo derivado respecto de y se los agradeseria mucho.... Graciaz...!!!

Observa que la expresión corresponde a una función de dos variables:
f(x,y) = ex/y,
luego, si llamamos u al exponente, tenemos:
u = x/y = x*y-1, cuyas derivadas parciales son:
ux = 1*y-1 = y-1 = 1/y,
uy = x*(-1)y-2 = - x/y2.
Luego, planteamos las derivadas parciales de la función:
fx(x,y) = eu*ux = sustituimos = ex/y*1/y = ex/y/y;
fy(x,y) = eu*uy = sustituimos = ex/y*(-x)/y2= - x*ex/y/y2.
Espero haberte ayudado.
hola, disculpen soy estudiante de ingeniería y tengo una duda sobre ecuaciones diferenciales, la verdad es que me gustaría saber ¿que es una ecuación diferencial?, que representa o como se representa la verdad es que no me queda muy claro ese concepto de que es una ecuación diferencial y lo que representa, además cuando encuentro la solución ¿Qué es lo que encuentro?, entiendo que puede ser una recta una curva o algo asi, y que hay una familia de rectas de solución, pero en si no entiendo que es lo que representa la solucion
hola, tengo dos funciones (trigonometricas) y me piden hallar la funcion velocidad en x y en y, esas dos funciones son del tiempo respecto al eje x y respecto al eje y, tambien me piden ¿Cuál es la velocidad máxima (para cada coordenada) alcanzada por el objeto? que tengo que hacer como hallo esa funcion velocidad derivando o es la derivada segunda?

No podemos (ni debemos) haceros los deberes de 4 en 4..
Se trata de que DESPUES DE IR A CLASE (ver los vídeos relacionados con
vuestras dudas) enviéis dudas concretas, muy concretas. Y que nos enviéis
también todo aquello que hayais conseguido hacer por vosotros mismos. Paso a
paso, esté bien o mal. No solo el enunciado. De esa manera podremos saber
vuestro nivel, en que podemos ayudaros, cuales son vuestros fallos.... Y el
trabajo duro será el vuestro. Nos cuentas ¿ok? #nosvemosenclase ;-)