
Hola Agustin,
Prueba a insertarlo en Wolfram:
http://www.wolframalpha.com/widgets/view.jsp?id=fb4c835feb0a65cc39739320d7a51c02
Si pulsas verlo paso a paso te lo enseña !
Espero que te sea de ayuda! Suerte! :)

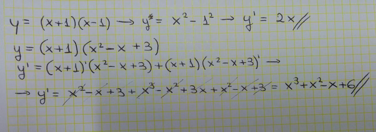
No, no cualquier número elevado a un exponente es nulo, la derivada de ese número elevado a un exponente es nulo
Porque cuando resuelves la potencia te va a dar como resultado una constante, y ahí se aplica lo que te comenté anteriormente, que la derivada de una constante es nula
Hola a todos, tengo un problema con un ejercicio de estadística que dice que de acuerdo a los siguientes datos, los agrupe en una tabla de distribución de frecuencias para 7 intervalos de clase
El Rango me dió 1,7 porque R = Xmáx - Xmin = 16,9 - 15,2 = 1,7
La amplitud me dió 0,24343 porque c = Rango/Número de intervalos
como en clase redondeamos por exceso, entonces trabajo la amplitud con un valor de 0,3
Ahora viene mi duda:
Armé los intervalos de clase y le sume la amplitud, porque es una tabla equiespaciada con la que trabajo, y obtuve:
fi
15,2 - 15,5 2
15,5 - 15,8 7
15,8 - 16,1 11
16,1 - 16,4 9
16,4 - 16,7 3
16,7 - 17 4
17 - 17,3 0
El problema es que cuando desarrollo fi, tengo un intervalo donde no tengo datos, que es el último, quisiera saber si eso es normal o es incorrecto, y de ser así, de que manera podría solucionarlo, aclaro que la variable asociada al ejercicio es Continua, no detalle todo lo que dice el problema en sí porque solo tengo duda en esta parte del problema, es para un trabajo que tengo que entregar, agradecería si me pudiesen contestar rápidamente, Muchas gracias!
Ayudadme por favor!
Dados los vectores u=(a,-3) y v=(2,b), encuentra los valores de a y b sabiendo que los vectores u y v son perpendiculares y que el módulo de v es igual a la raíz cuadrada de 20