Hola, necesito ayuda con este ejercicio... Me dice discute y resuelve cuando sea posible el siguiente sistema según los valores del parámetro
2x+y+az=4
x+z=2
x+y+z=2
Lo he hecho, pero no sé si cuando me dice ''cuando sea posible'' se refiere a que tengo hacerlo cuando a=2 y el sistema es compatible indeterminado, que entonces no sé resolver el sistema, o cuando a≠2 que es un sistema compatible determinado, pero claro, no me dicen para qué valor de a resolverlo... Gracias

Tienes la matriz del sistema:
A =
2 1 a
1 0 1
1 1 1
Y su determinante es:
det(A) = (0+a+1)-(0+1+2) = a+1-3 = a-2.
Luego, tienes dos opciones:
1) det(A) ≠ 0, que conduce a: a-2≠0 y luego tienes: a ≠ 2, para el que el sistema es compatible determinado y tiene solución única. Luego planteamos el Método de Gauss:
2 1 a 4
1 0 1 2
1 1 1 2
Permutamos la primera fila con la tercera:
1 1 1 2
1 0 1 2
2 1 a 4
A la segunda fila le restamos la primera, y a la tercera fila le restamos el doble de la primera:
1 1 1 2
0 -1 0 0
0 -1 (a-2) 0
A la primera fila le sumamos la segunda, y a la tercera fila le restamos la segunda y queda:
1 0 1 2
0 -1 0 0
0 0 (a-2) 0
Luego, tienes el sistema de ecuaciones equivalente:
x + z = 2
-y = 0, de aquí tienes: y = 0
(a-2)z = 0, de aquí tienes: z = 0
luego reemplazas en la primera ecuación y tienes: x = 2,
y el conjunto solución queda: S = { (2,0,0) ].
2) det(A) = 0, que conduce a: a-2=0 y luego tienes: a = 2, que analizamos a continuación con el Método de Gauss, a partir de la matriz ampliada del sisema:
2 1 2 4
1 0 1 2
1 1 1 2
Permutamos la primera fila con la tercera:
1 1 1 2
1 0 1 2
2 1 2 4
A la segunda fila le restamos la primera, y a la tercera fila le restamos el doble de la primera:
1 1 1 2
0 -1 0 0
0 -1 0 0
A la primera fila le sumamos la segunda, y a la tercera fila le restamos la segunda y queda:
1 0 1 2
0 -1 0 0
0 0 0 0
Luego, tienes el sistema de ecuaciones equivalente:
x + z = 2, de aquí tienes: z = 2 - x
-y = 0, de aquí tienes: y = 0
con x ∈ R,
y el conjunto solución queda: S = { (x,0,2-x), x ∈ R },
y el sistema es compatible indeterminado y admite infinitas soluciones.
Espero haberte ayudado.
sabado por la mañana y al resolver esta integral me da un numero grandisimo 55169.73324365 yo creo que esta mal. si alguien me podria corregir se lo agradeceria muchas gracias ![]()

Puedes plantear el cambio a coordenadas cilíndricas con eje z, cuyo factor de compensación (Jacobiano) es: |J| = r,
y en estas coordenadas el recinto de integración queda expresado: Ω = { 1≤z≤7 , 1≤r≤5 , 0≤θ≤2π }.
Luego, pasamos a la integral expresada en coordenadas cilindricas::
I = ∫∫∫Ω ( 96*lnz + sen(r2) )*r*dz*dr*dθ
Integramos para la variable z y queda (indicamos con corchetes que debemos evaluar con Regla de Barrow):
I = ∫∫ ( 96*[ z*lnz - z ] + sen(r2)*[ z ] )*r*dr*dθ = ∫∫ ( 96*(7*ln7 - 6) + sen(r2)*6 )*r*dr*dθ
Distribuimos en el argumento y queda:
I = ∫∫ ( 96*(7*ln7 - 6)*r - 6*sen(r2)*r )*dr*dθ = 96*(7*ln7 - 6)*∫∫ r*dr*dθ - 3*∫∫ sen(r2)*2*r*dr*dθ
Integramos para la variable r (observa que en el primer término es en forma directa y en el segundo es por sustitución):
I = 96*(7*ln7 - 6)*∫ [ r2/2 ]*dθ - 3*∫ [ - cos(r2) ]*dθ = 1152*(7*ln7 - 6)*∫ dθ - 3*(- cos25 + cos1)*∫ dθ
Integramos para la variable θ:
I = 1152*(7*ln7 - 6)*[ θ ] - 3*(- cos25 + cos1)*[ θ ] = 2304π*(7*ln7 - 6) - 6π*(- cos25 + cos1) ≅ 55165,233 - (- 8,499) = 55173,732.
Luego, comparamos tu resultado con el que hemos obtenido, y la diferencia se debe a las aproximaciones, por lo que queda que controles los pasos en el desarrollo, y verifiques si has resuelto correctamente el ejercicio
Espero haberte ayudado.
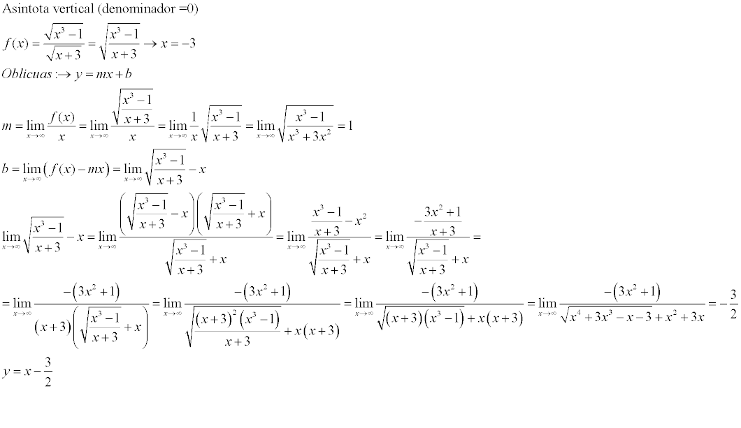
Holaa! Necesito ayuda con un ejercicio de asíntotas. ¿Alguien me puede ayudar? Gracias
f(x)= (√x³ -1)/(√x +3)
(Las raíces ocupan todo el polinomio no solo la x)
hola, estoy haciendo un ejercicio de trigonometria y no se muy bien por donde empezar, he intentado reducir incognitas. Me podeis ayudar. Gracias
Encuentra el valor de a:
sen(π⁄2 + a) + cos(π - a) + sen(π - a)
_____________________________________
cos(-a) + sen(-a)
He puesto en el numerador que sen(π/2 + a) = sen (π - a) y que cos(π/2 +a) = cos(π - a),pero no se si esta bien,ni como continuar
No entiendo muy bien lo que tienes que hacer, estas seguro que la fracción no esta igualada a algo?
sen(π⁄2 + a) + cos(π - a) + sen(π - a)
_____________________________________
cos(-a) + sen(-a)
↔cos(-a) - cos(a) + sen(a)
___________________________
cos(a) - sen(a)
↔cos(a) - cos(a) + sen(a)
___________________________ /Cos es par y sen es impar
cos(a) - sen(a)
↔ sen(a)
__________________
cos(a) - sen(a)
Luego para que la fracción no se indetermine deberás calcular para que valores de a cos(a) - sen(a) se hace 0 y quitarselos al conjunto con el que estes trabajando
Denada, lo que pasa es que al no tener una igualdad lo único que podemos hacer es desarrollar un poco la expresión y ver que valores la indeterminan
por ejemplo si tengo una fracción;
2x+2 +x +3
--------
x +2 +2
lo unico que puedo hacer es simplificarla un poco:
3x+5
-------- (x ≠-4)
x +4

Me encantaría ayudarte, pero no respondo dudas universitarias que no tengan que ver específicamente con los videos que ya he grabado como excepcion. O de otras asignaturas que no sean matemáticas, física y química. Lo siento de corazón… Espero lo entiendas
Ojalá algun unicoo universitario se anime a ayudarte (de hecho lo ideal es que todos los universitarios intentarais ayudaros los unos a los otros)