Foro de preguntas y respuestas de Matemáticas

logo beUnicoos
Los foros de unicoos se han unificado en nuestra nueva plataforma beUnicoos. Para dejar nuevas preguntas deberás hacerlo allí, donde además podrás encontrar nuevas asignaturas y herramientas para ayudarte más con tus estudios.

  • Usuario eliminado
    el 6/5/17

    No se resolver este ejercicio!!! Encuentra en área del paralelogramo determinado por los vectores u=(4,3) y v=(5,12)

    replythumb_up0 voto/sflag
    icon

    Antonio
    el 6/5/17

    Hay una fórmula que dice que el área del paralelogramo determinado por dos vectores es el módulo del producto vectorial de esos vectores.

    ¿Sabes calcular el producto vectorial de dos vectores?

    ¿Sabes calcular el módulo de un vector?

    thumb_up0 voto/sflag
  • icon

    Alan Narvaez
    el 6/5/17

    HOLA.¿ ALGUIEN ME PUEDE AYUDAR A RESOLVER LAS SIGUIENTES ECUACIONES?. MUCHAS GRACIAS!



    replythumb_up0 voto/sflag
    icon

    Antonius Benedictus
    el 7/5/17


    thumb_up0 voto/sflag
  • Usuario eliminado
    el 6/5/17

    Necesito ayuda con vectores, el ejercicio me pide que adivine que tiene que valer x en cada uno de los casos para que los vectores u=(1,x-1) y v=(4,3):

    a)sean perpendiculares

    b)sean paralelos

    c)formen un ángulo de 60º

    replythumb_up0 voto/sflag
    icon

    Matias DaSilva
    el 6/5/17

    Estas segura que hay que adivinar y no usar laS propiedades de producto escalar y vectorial??

    thumb_up0 voto/sflag
    icon

    Sarqui
    el 6/5/17

     termina tu el apartado c que me daba pereza despejar la ecuación. ¡Saludos! 

    thumb_up0 voto/sflag
  • icon

    Julio Rojas
    el 6/5/17

    buenas me podrian ayudar con este despeje que no entiendo como hicieron para llegar a ese resultado 

    replythumb_up0 voto/sflag
    icon

    Ángel
    el 7/5/17

    Si a-x4= z4x4 (sospecho que falta algún término en la foto), entonces 4√(a-x4) será claramente zx

    Lo que no coincide con el resultado que te dan.

    thumb_up0 voto/sflag
  • icon

    Javier Arias
    el 6/5/17

    Ayuda. me piden operar y simplificar pero no entiendo, es mas ni se que es S.O.S

    replythumb_up0 voto/sflag
    icon

    Javier Arias
    el 8/5/17

    (-7x2-3)/2 ese tiene que ser el resultado 

    thumb_up0 voto/sflag
  • icon

    DueFreitas
    el 6/5/17

    Profe como resuelvo esto de Optimizacion ?

    replythumb_up0 voto/sflag
    icon

    Antonio
    el 6/5/17

    Sea x la longitud de la base e y la altura del prima rectangular de base cuadrada que aparece en el enunciado

    El de una de una de sus caras laterales será 2x+2y=30, o sea x+0=15, que es lo mismo que y=15-x

    por otro lado su volumen será:

    V = Ab· h = x2· y

    sustituyendo

    V = x2· y = x2(15-x) = 15x2- x3

    Buscaremos ahora el valor de x que maximice la función V(x)

    para ello derivamos e igualamos a cero

    V' = 30x-3x2

    30x-3x2=0 =>x1=0 # y x2=10

    comprobamos que x=10 es un máximo, para ello:

    V'' = 30-6x

    V''(10) = 30 - 6·10 = -30 < 0 Máx

    calculamos y=15-x=15-10=5

    por lo tanto:

    El prisma tiene una base cuadrada de lado 10 cm y una altura de 5  cm 


    thumb_up0 voto/sflag
  • icon

    Nacho
    el 6/5/17

    Se me esta complicando la parte de x,f(x)

    se que la recta tangente seria por la ec rtg=f(a)+f´(a)(x-a)

    pero no se que poner en a 


    replythumb_up0 voto/sflag
    icon

    Antonio
    el 6/5/17

    Por pasos:

    a) Debes calcular la recta tangente a función en un punto

    para ello: y=f(a)+f´(a)(x-a)

    sol: y = (-2a) x + (4+a2)

    b) Debes encontrar los puntos de corte de la recta con los ejes

    sol: (0, 4+a2) y ((4+a2)/2a,0)

    c) Debes ahora calcular el área del triángulo

    A(a) = [((4+a2)/2a)·(4+a2)]/2

    d) maximizamos A(a) derivándola e igualando a cero 

    sol: a=2√3/3

    e) Por último calculamos A(2√3/3) = 32√3/9

    thumb_up0 voto/sflag
  • icon

    Sarqui
    el 6/5/17

    ¿Me podéis decir en que me he equivocado? 

    replythumb_up0 voto/sflag
    icon

    Antonio
    el 6/5/17

    Al calcular el punto de la recta

    thumb_up0 voto/sflag
  • icon

    Francisco Bk Gtz
    el 6/5/17

    ¿como calculo el sig ejercicio es el numero 10.?


    replythumb_up0 voto/sflag
    icon

    Antonius Benedictus
    el 6/5/17


    thumb_up1 voto/sflag
    icon

    Axel Morales Piñón.
    el 6/5/17


    thumb_up0 voto/sflag
    icon

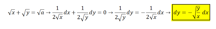
    Axel Morales Piñón.
    el 6/5/17

    Discúlpame, la raíz no engloba al diferencial. 

    thumb_up0 voto/sflag
  • icon

    Alba Vargas Lozano
    el 6/5/17

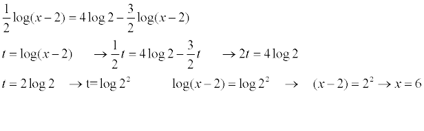
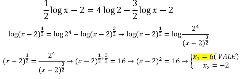
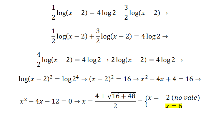
    1/2log(X-2) = 4log2 - 3/4log(X-2)

    replythumb_up0 voto/sflag
    icon

    Antonius Benedictus
    el 6/5/17

    Pon foto del enunciado original, Alba.

    thumb_up0 voto/sflag
    icon

    Alba Vargas Lozano
    el 6/5/17


    thumb_up0 voto/sflag
    icon

    Antonius Benedictus
    el 6/5/17


    thumb_up1 voto/sflag
    icon

    Axel Morales Piñón.
    el 6/5/17


    thumb_up0 voto/sflag
    icon

    César
    el 6/5/17


    thumb_up0 voto/sflag