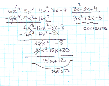
Hola, necesito una fotografía o captura de pantalla con el proceso de la siguiente división de polinomios: (6x4-5x3-4x2+8x-8):(2x2-3x+4) Muchas gracias
Cómo se resuelve las funciones elementales con fracción, cuando su denominador en de 2ºgrado
El ejercicio 1 de la foto

Tienes la expresión de la gráfica de la función:
y = (x3 - 2*x2) / (x2 - x -2),
factorizas el numerador (observa que puedes extraer factor común: x2), factorizas el denominador (observa que es una expresión polinómica cuadrática mónica, cuyas raíces son: -1 y 2), y queda:
y = x2*(x - 2) / [(x + 1)*(x - 2)] (1),
y observa que el dominio de la función queda expresado, como indica el colega Antonio: D = R - {-1,2} = (-∞;-1) ∪ (-1;2) ∪ (2;+∞).
Luego, una vez establecido el dominio, simplificas la expresión de la gráfica de la función, y queda:
y = x2 / (x + 1).
Luego, tienes dos valores notables para estudiar, que corresponden a las dos "interrupciones" que tienes en tu dominio, para los cuáles aplicas la definición de continuidad de una función en un punto, y queda::
a)
para x = -1 tienes:
1°)
la función no está definida para este valor notable,
2°)
Lím(x→-1-) [x2 / (x + 1) ] = -∞ (observa que el numerador tiende a 1, y que el denominador tiende a cero desde valores negativos),
Lím(x→-1+) [x2 / (x + 1) ] = +∞ (observa que el numerador tiende a 1, y que el denominador tiende a cero desde valores positivos),
por lo que tienes que la función no tiene límite para x tendiendo a -1,
3°)
f es discontinua inevitable en el valor notable: x = -1, y su gráfica presenta Asíntota Vertical, cuya ecuación cartesiana es: x = -1;
b)
para x = 2 tienes:
1°)
la función no está definida para este valor notable,
2°)
Lím(x→2) [x2 / (x + 1) ] = 4/3 (observa que el numerador tiende a 4, y que el denominador tiende a 3),
3°)
f es discontinua evitable en el valor notable: x = -1, y su gráfica presenta discontinuidad puntual, para el valor notable x = -1.
Espero haberte ayudado.
Hola! Alguien me podría ayudar con este ejercicio por favor.
Escribe, en forma explícita, la ecuación de la recta que corta al eje de abscisas en el punto x=-2, y cuyo vector director es ⃗v=(1,√3) . ¿Qué angulo forma con el eje de abscisas?
Sacamos la pendiente, que vale: m=√3/1=√3
Ecuación explícita: y=mx+n, con m la pendiente, y n el corte con el eje oy.
Como sabemos el corte con el eje ox y la pendiente, tomamos la ecuación y=mx+n, y sustituimos x e y:
x=-2, y=0 ; 0=√3*(-2)+n ; n=2√3
Ya tenemos la ecuación explícita de la recta: y=√3x+2√3.
El apartado del ángulo lo dejo para que lo pienses y/o alguien pueda colaborar.
Buenas alguien me puede ayudar con este ejercicio?
Es el siguiente subconjunto un subespacio vectorial de P2[x]? Justicalo.