Foro de preguntas y respuestas de Matemáticas

logo beUnicoos
Los foros de unicoos se han unificado en nuestra nueva plataforma beUnicoos. Para dejar nuevas preguntas deberás hacerlo allí, donde además podrás encontrar nuevas asignaturas y herramientas para ayudarte más con tus estudios.

  • icon

    andres
    el 25/4/17


    replythumb_up0 voto/sflag
    icon

    Antonio Mateos de Porras Cosano
    el 25/4/17


    thumb_up0 voto/sflag
    icon

    Ángel
    el 25/4/17

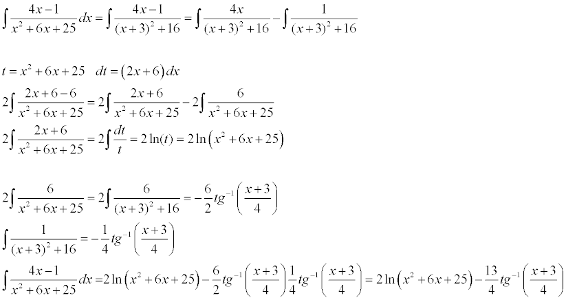
    Antonio, en la a) te falta multiplicar por 5 al final el resultado (recuerda que lo sacaste fuera de la integral al principio)

    Queda así: 5*[xln(2x)-x] + C


    En el b) se puede sacar x3 como factor común al final.

    thumb_up0 voto/sflag
  • icon

    andres
    el 25/4/17


    replythumb_up0 voto/sflag
    icon

    Ángel
    el 25/4/17

    En qué tienes problema, ¿en hacer las derivadas y/o en hacerlo con tu programa?

    MatLab? maxima?

    thumb_up0 voto/sflag
    icon

    César
    el 25/4/17


    thumb_up0 voto/sflag
    icon

    Antonio Mateos de Porras Cosano
    el 25/4/17


    thumb_up0 voto/sflag
  • icon

    javi pedrosa
    el 25/4/17

     Calcula la longitud total de la astroide x2/3 + x2/3 = 1.

    como se hace?

    replythumb_up0 voto/sflag
    icon

    César
    el 25/4/17


    thumb_up0 voto/sflag
  • icon

    Daniel Guillen
    el 25/4/17

    He echo la ecuacion  X2   -5X=0

    Y me da x=0

                   x=-5

    Me podriais decir si esta bien??? gracias........


    replythumb_up0 voto/sflag
    icon

    kevin castellano
    el 25/4/17

    según mis cálculos x(x-5) x=5/x=0 si esta bien operado, si a los dos nos da lo mismo hay que tener mucha mala suerte para que este mal. a mi me da exactamente como a ti


    thumb_up1 voto/sflag
    icon

    Daniel Guillen
    el 25/4/17

    muchassss grax


    thumb_up0 voto/sflag
    icon

    Antonio
    el 25/4/17

    Está mal, el cero si lo es, el -5 no.

    Para comprobar si está bien solo hay que sustituir los valores que te salen en la x y ver que funciona.

    thumb_up1 voto/sflag
    icon

    Antonio
    el 25/4/17

    Kevin lo tiene bien, pero Daniel mal.

    thumb_up0 voto/sflag
    icon

    Nina
    el 25/4/17

    x2 - 5x= 0   sacas factor común

    x(x-5) = 0  Ahora igualas a  0  la X i  (X-5)

    X=0   i X-5= 0   pasas el 5 al otro lado cambiandole el signo y te sale que X= 5 

    thumb_up0 voto/sflag
    icon

    Nina
    el 25/4/17

    Y para comprobar sustituyes 5  a la ecuación principal (x2-5x) i calculas, si te da 0 significa que esta bien. Y haz lo mismo con el otro resultado el 0


    thumb_up1 voto/sflag

    Usuario eliminado
    el 25/4/17


    thumb_up1 voto/sflag
  • icon

    Guillem De La Calle Vicente
    el 25/4/17

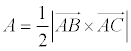
    Cómo calcular el área del triángulo 3D?

    Tengo coordenadas del triángulo 3d y necesito calcular su área. Sé cómo hacerlo en 2D, pero no sé cómo calcular el área en 3d. He desarrollado datos como sigue.

    (119.91227722167969, 122.7717056274414, 39.3568115234375), (119.8951187133789, 122.7717056274414, 39.38057327270508), (121.11941528320312, 123.2818832397461, 38.41301345825195)

    replythumb_up0 voto/sflag
    icon

    César
    el 25/4/17

    si tienes los vertices sería el 1/2 del producto vectorial 

    thumb_up0 voto/sflag
  • icon

    Guillem De La Calle Vicente
    el 25/4/17

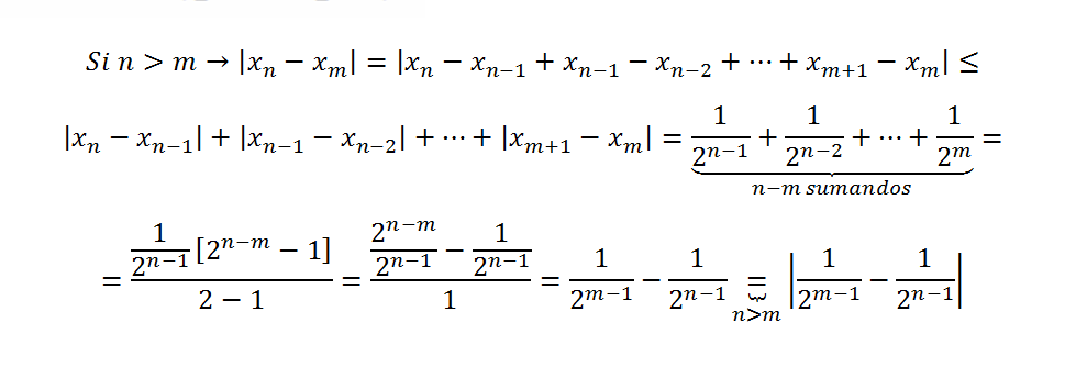
    Se define la sucesión (xn) de la forma siguiente:

    x0=0

    x1=1

    xn=(1/2)(xn-1+xn-2) ∀n ≥ 2

    Demuestra que


    replythumb_up0 voto/sflag
    icon

    Antonius Benedictus
    el 25/4/17


    thumb_up0 voto/sflag
    icon

    Antonius Benedictus
    el 25/4/17



    thumb_up0 voto/sflag
  • icon

    Daphne
    el 25/4/17


    replythumb_up0 voto/sflag
    icon

    Ángel
    el 25/4/17


    thumb_up0 voto/sflag
  • icon

    Daphne
    el 25/4/17

    Deseamos cocinar tres hamburguesas en el menor tiempo posible. Cada hamburguesa debe estar diez minutos en las parrilla, por cada uno de sus lados, para alcanzar el punto necesario, pero sucede que en la parrilla solo hay espacio para dos hamburguesas.¿Cuál es el tiempo mínimo para cocinar las tres hamburguesas y como lo haríamos?

    Posible solución: ¿El tiempo mínimo sería de 40 minutos? 20 minutos las dos primeras hamburguesas y otros 20 para la tercera

    replythumb_up0 voto/sflag
    icon

    César
    el 25/4/17


    thumb_up0 voto/sflag
  • icon

    Adrian
    el 25/4/17

    Buenas a todos, me dieron este ejeciclo de estadística pero no se exactamente que me pide el ítem c) alguien me podría orientar? Gracias 

    replythumb_up0 voto/sflag
    icon

    Antonio
    el 25/4/17

    Debes calcular la desviación típica

    thumb_up0 voto/sflag
  • icon

    Andrés BM
    el 25/4/17

    Si alguien puede ayudarme con esto se lo agradezco de veras.

    replythumb_up0 voto/sflag
    icon

    César
    el 25/4/17


    thumb_up1 voto/sflag