Buenas unicoss, necesito de su ayuda en esta pregunta: Demostrar que el centroide de un triangulo esta a un tercio de su base. espero que puedan ayudarme, con procedimieento y razonamiento para entenderlo con mayrr facilidad.
ola me ayudaria con esos ejercicios xafvor !
y me podrian recomendar un video donde se vea este tipo de ejercicios !
gracias #unicoos
¿Como se sacan las Cs? Se que es por parametrización pero no se hacerlo. Y otra cosa, en la segunda integral, en la columna vertical falta un menos (1, 0, -1) ? Gracias.

Me encantaría ayudarte, pero no respondo dudas universitarias que no tengan que ver específicamente con los videos que ya he grabado como excepcion. O de otras asignaturas que no sean matemáticas, física y química. Lo siento de corazón… Espero lo entiendas
Ojalá algun unicoo universitario se anime a ayudarte (de hecho lo ideal es que todos los universitarios intentarais ayudaros los unos a los otros)
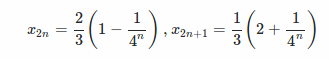
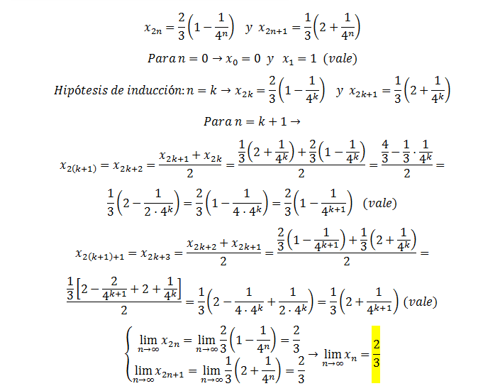
Se define la sucesión (xn) de la forma siguiente:
x0=0
x1=1
xn=(1/2)(xn-1+xn-2) ∀n ≥ 2
a) Pretendemos ahora calcular su límite. Vemos en primer lugar que:
Indicación: Demostrar ambas igualdades a la vez por inducción.
b) Aprovecha el apartado anterior para razonar el valor del límite de la sucesión (xn)