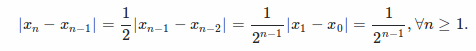
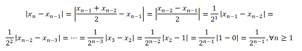
Hola, cómo se soluciona este problema?
La base de un rectangulo es 7cm más larga que la altura i el perímetro hace 54 cm. Calcula los valores de loscostados.
pd: hago 2o de la eso
Que puedo hacer para recuperar 1y2 evaluación de 4eso
Hola tengo una inquietud, no puedo plantear este ejercicio, entiendo que 0.05x+0.09y= 160.000 pero la otra ecuación no la se plantear para obtener cada inversión. SI me pueden ayudar les agradezco
Un inversionista recibe $160.000 por conceptos de intereses de 2 inversiones, con la primera gana el 5% y con la segunda el 9%. El próximo mes las tasas cambiarán y los intereses obtenidos serán de $232.000. Detereminar los valores de cada inversión
Esta es la pregunta original
Un inversionista recibe $160.000 por conceptos de intereses de 2 inversiones, con la primera gana el 5% y con la segunda el 9%. El próximo mes las tasas cambiarán y los intereses obtenidos serán de $232.000
Determinar las cantidades de cada inversión.
Necesito solucionar un ejercicio de las relaciones de conjuntos y sus propiedades de
desigualdades y exponentes (comprobar si es simétrica, transitiva y reflexiva). No necesito deducciones , sino como el desarrollo.
Sin asegurarte nada, creo que los pares que componen R son:
(1,2), (1,3), ............
(2,2), (2,3), ............
(3,2), (3,3).........
..
(descartamos sólo los pares (a,b) en los que b=1
No es simétrica: Si el 1º está relacionado con el 2º, TAMBIÉN VICEVERSA......por ejemplo está el (1,3) pero no el (3,1) .....
Sí es transitiva: Si el 1º está relacionado con el 2º y el 2º con el 3º, entonces el 1º está relacionado con el 3º
No es reflexiva: Para que sea reflexiva tiene que cumplirse que cada elemento está relacionado consigo mismo...se cumple (2,2), (3,3),(4,4), (5,5)...........pero no está en la relación el (1,1)