
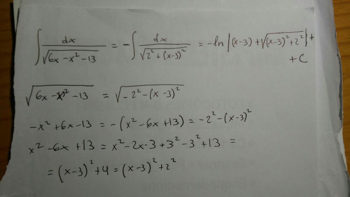
Por favor, revisa tu enunciado para verificar que esté correcto.
Observa que el argumento de la raíz cuadrada debe ser estrictamente positivo, pero tienes:
6x - x2 - 13 = sumamos y restamos nueve = 9 - 9 + 6x - x2 - 13 = ordenamos términos y queda:
= 9 - 13 - x2 + 6x - 9 = extraemos factor común en los tres últimos términos y queda:
= - 4 - (x2 - 6x + 9) = factorizamos el agrupamiento y queda:
= - 4 - (x - 3)2,
y observa que la expresión final es negativa, por ser la suma de dos términos negativos,
por lo que no puede ser un argumento de una raíz cuadrada o con índice par..
Espero haberte ayudado.

Recuerda, te recomiendo mires los vídeos de Unicoos sobre este tema, que para este caso extraemos factor común la mayor potencia, tanto en el numerado como en el denominador
N = x2 - 4 = x2*(1 - 4/x2),
D = x2 - 7x - 4 = x2*(1 - 7/x - 4/x2);
luego, pasamos al cálculo del límite:
Lím(x→±∞) (x2 - 4)/(x2 - 7x - 4) = sustituimos expresiones =
= Lím(x→±∞) x2*(1 - 4/x2) / x2*(1 - 7/x - 4/x2) = simplificamos factores =
= Lím(x→±∞) (1 - 4/x2) / (1 - 7/x - 4/x2) = evaluamos =
= Lím(x→±∞) (1 - 0) / (1 - 0 - 0) = 1/1 = 1.
Espero haberte ayudado.
Polinomios multilineales limitados a cero cuando todas pero una variable tienen el mismo valor
Considere un polinomio de N variables, p (x1, ..., xn), restringido como sigue:
Mi pregunta:
¿Existe una manera de elaborar una forma general para tales polinomios?
Mis intentos que no valen la pena leer.
Para N = 2 obviamente p = 0 es la única solución.
Escribir la función como 2N términos:
Aquí cada ai1, i2, ..., in es una constante real valorada.
Los términos de grado N, N-1,1, o 0 serán los términos únicos yzn-1, zn-1, y, y constante, respectivamente, para al menos una de las restricciones gi (y, z). Así que para que todo gi sea cero, estos términos deben ser cero en p.
Esto significa que f = 0 es la única solución para N = 3 también.
Trabajé a través de N = 4 a mano, y parece que un f no-cero es finalmente posible aquí.
Para N = 4 los términos del grado dos permanecen después de las consideraciones anteriores. Etiquetándolos por conveniencia:
Las restricciones son entonces
que parecen reducirse a estos:
Lo que hace que la solución general para N = 4:
Desafortunadamente
no aprendí mucho de ese ejercicio y no estoy seguro de cómo obtener una
forma más general que incluya mayor tamaño.

Me encantaría ayudarte, pero no respondo dudas universitarias que no tengan que ver específicamente con los videos que ya he grabado como excepcion. O de otras asignaturas que no sean matemáticas, física y química. Lo siento de corazón… Espero lo entiendas
Ojalá algun unicoo universitario se anime a ayudarte (de hecho lo ideal es que todos los universitarios intentarais ayudaros los unos a los otros)