Probabilidad de seleccionar un número par del conjunto de los ℕ
Sí, esto parece ser una pregunta tonta, pero por favor escucha mi pensamiento.
Pregunta: Supóngase que he seleccionado un número n∈ ℕ, cuál es la probabilidad de qué n es par?
Mi respuesta:
Probabilidad: n(E)/n(S)
Aquí n(S) es el conjunto de todos los números naturales ℕ, y n(E) es el conjunto de todos los números pares naturales.
Como que está demostrado que el número de elementos en ℕ es el mismo que el del conjunto de los números naturales.
(es muy fácil determinar el conjunto de los números naturales ℕ = {0, 1, 2, 3, ...}, con el conjunto E = {0, 2, 4, 6, ...} de los números naturales pares; ℕ --> E : n |--> 2n es claramente una función biyectiva.);
Por lo tanto, Probabilidad = 1.
Sé que esto es totalmente incorrecto. La probabilidad tiene que ser 0.5. Dónde razono incorrectamente? Alguien me lo puede explicar?
Hola, me podrìan con este problem, no se como resolverlos ayuda por favor



Has visto los videos de domingo y recorrido de una funcion?
https://www.youtube.com/watch?v=ooZRj7_lPrQ
https://www.youtube.com/watch?v=bnzhk-c42C4
A partir de ahí, se trata
de que DESPUES DE IR A CLASE (ver los vídeos relacionados con vuestras dudas)
enviéis dudas concretas, muy concretas. Y que nos enviéis también todo aquello
que hayais conseguido hacer por vosotros mismos. Paso a paso, esté bien o mal.
No solo el enunciado. De esa manera podremos saber vuestro nivel, en que
podemos ayudaros, cuales son vuestros fallos.... Y el trabajo duro será el
vuestro. Nos cuentas ¿ok?
Las tres primeras son funciones con dominio todo ℛ
y la última es una relación: en concreto la de la circunferencia de radio 1(no cumple la condición de función bien definida, pues al punto x=0 por ejemplo le corresponderían el menos 1 y el 1
El rango de la primera es [0,infinito), pues al valor cero de equis le corresponde y=0 y tanto a las equis positivas como negativas le corresponde una y positiva
El rango de la segunda puede tomar cualquier valor a medida que toma valores de x. Rg= ℛ
Dominio y rango del último [-1,1]
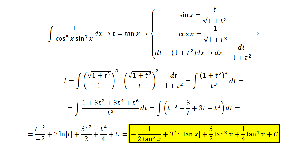
Hola. Tengo una duda respecto a "Integral por sustitución trigonométrica". ¿Debería tener en cuenta primero éstas fórmulas?
√a²-x² -> x=asenα
√a²+x² -> x=atanα
√x²-a² -> x=asecαSi quisiera encontrar primero los catetos mediante el triángulo como en el siguiente ejercicio. Me surge otra duda porque no sabría en que lugar poner el ángulo "θ"¿Daría la misma respuesta final?
En el siguiente ejercicio que he resuelto me sale diferentes respuestas ya que hay dos opciones para colocar el ángulo"θ"
A(*)=
B(*)=
