Estudia si los siguientes conjuntos de vectores son bases. En caso afirmativo,
encuentra las coordenadas del vector ( 3,4 ) respecto a la base :
1) B = { (2,4) , (-1,-2) } 2) B = { (1,3) , (2,4) } 3) B = { (1,3) , (-3,1) }
Hola Victoria, para saber si esos vectores forman una base tienes que ver si son linealmente independientes, para ello quizás lo más rápido y sencillo sea hacer el determinante; si te da distinto de 0 significa que son linealmente independientes y por tanto son una base.
Para encontrar las coordenadas del vector (3,4), solo tienes que encontrar la matriz de cambio de base de la canónica a tu nueva base y multiplicar ese vector por la matriz.
Hola queria consultar si alguien sabe que podria hacer para poder tener un directo con mis compañeros de la universidad (vamos a hablar por medio del face con llamada grupal) ; el problema que solo hablando no resolvemos dudas , lo que queria saber si es que alguien tiene conocimiento de alguna pagina donde podamos todos ver el ejercicio propuesto y resolverlos entre todos los conectados .
Muchas gracias de antemano.
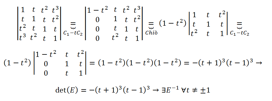
Hola me podrian ayudan con un ejercicio de ecuaciones en el plano y quisiera saber si el ejercicio 2 esta correcto.
1. Obtenga la ecuacion del plano que es perpendicular a la recta que pasa por los puntos (2,2,-4) y (7,-1,3) y que contenga al punto (-5,1,2)
2.Encontrar la ecuacion del plano que contiene al punto (6,2,4) y a la recta (x-1)/5=(y+2)/6=(z-3)/7
(x-1)/5=(y+2)/6=(z-3)/7 -----> <5,6,7>
5(x-6)+6(y-2)+7(z-4) ----> 5z+6y+7z-70=0
En el primero debes hallas el vector entre los puntos dados, el cual será el vector director de la recta y al ser ésta perpendicular al plano, el vector hallado coincide con el vector normal del plano.
Y ya sólo tienes que hallar el plano conocidos vector normal y punto.
En el segundo debes buscar dos vectores y un punto del plano pedido:
de la recta sacas un primer vector y un punto
con el punto dado y el punto obtenido sacas el segundo vector
con los dos vectores y un punto(hay dos, elige uno) halla la ecuación del plano
hola! no entiendo este ejercicio de Area Polar:
Interior al rizo r=1+4cosθ y exterior a r=1
no entiendo la parte del riso, ya que no se que rizo me piden si el superior ó el inferior, la integral la acote desde π hasta 4π/3 y me da como resultado lo que esta escrito en ROJO y lo que esta en NEGRO es lo que da en la guia. Gracias de antemano

Me encantaría ayudarte, pero no respondo dudas universitarias que no tengan que ver específicamente con los videos que ya he grabado como excepcion. O de otras asignaturas que no sean matemáticas, física y química. Lo siento de corazón… Espero lo entiendas
Ojalá algun unicoo universitario se anime a ayudarte (de hecho lo ideal es que todos los universitarios intentarais ayudaros los unos a los otros)