Alguien me puede ayudar a resolver este ejercicio, ya que llego ha hacer 2 sustituciones pero despues ya no se que mas realizar
Determine el area de superficie obtenida al hacer girar la curva respecto al eje x.
es de area de superficie llego a un punto donde no se que mas hacer

y=√(9x-18)... A partir de ahí...
Volumen de revolución de una esferaBuenas tardes, podrían ayudarme con este ejercicio por favor, no se me ocurren ideas
-una partícula se mueve a lo largo de una curva plana con rapidez constante e igual a 5, sale del origen en el instante t=0 con velocidad inicial 5J y nunca pasa a la izquierda del "eje Y".
En todo momento la curvatura es k(t)=2t, designemos @(t) el angulo que forma el vector velocidad con el "eje X positivo" en el instante t, determine explicitamente @(t) como función de t, y calcule el vector velocidad en función de I y J.
Ayuda por favor, no tengo ni idea de como hacer este punto
Gracias de ante mano.
Buenas, me podéis ayudar con el siguiente ejercicio por favor? Y sabéis si hay algún vídeo grabado de éste tipo?
Sean r y θ el radio y el ángulo respectivamente del campo de cultivo.
Sea A y P el área y el perímetro del mismo.
A=(πr2)/(2π)·θ = (r2θ)/2
P=(2πr)/(2π)·θ + 2r = rθ+2r = 100 => rθ = 100-2r => θ = (100-2r)/r => θ = 100/r-2
Sustituyendo:
A= (r2θ)/2 = (r2(100/r-2))/2 = (100r-2r2)/2 = 50r-r2
Maximizemos el área, para ello derivamos e igualamos a cero
A'= 50-2r
50-2r=0 => r=25
Comprobemos que es un máximo => A'=-2<0 => Máximo
y como θ = 100/r-2 => θ =2
Por lo tanto:
el radio que debe cubrir el aspersor debe ser de 25 metros con un ángulo de 2 radianes
para poder tener un campo de cultivo de sandias de 625 metros cuadrados
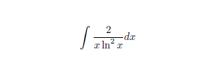
Holaa, alguien podria ayudarme? Necesito saber cómo se hace la integral de 2/x·ln^2·x