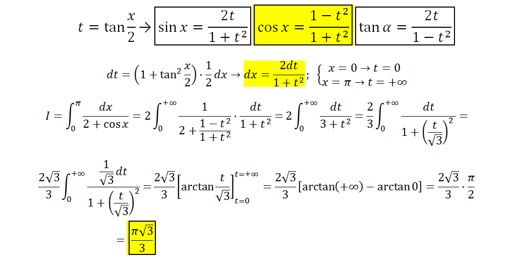
Hola, se que esta pregunta se sale del contenido de Unicoos y todo eso, pero por favor si alguien de universidad me puede ayudar lo agradecería.
No entinedo como hacerlo con el cambio de variables que pone en el problema.
Gracias!

Me encantaría ayudarte, pero no respondo dudas universitarias que no tengan que ver específicamente con los videos que ya he grabado como excepcion. O de otras asignaturas que no sean matemáticas, física y química. Lo siento de corazón… Espero lo entiendas
Ojalá algun unicoo universitario se anime a ayudarte (de hecho lo ideal es que todos los universitarios intentarais ayudaros los unos a los otros)

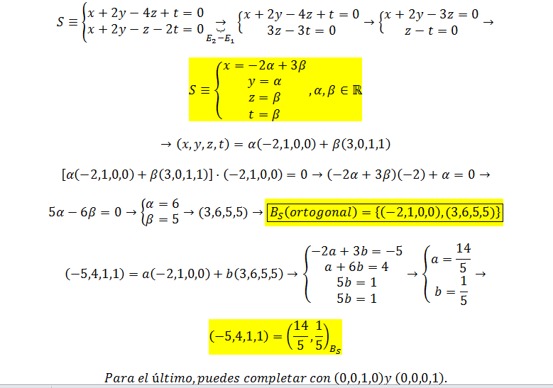
Antonio Benito García,
En primer lugar darte las gracias porque siempre respondes a mis dudas y además muy claro.
1)Pero en este caso tengo dudas, los vectores para completar la base: (0,0,1,0) y (0,0,0,1) ¿no cumplen las ecuaciones del ejercicio no? Como los saco...
2)Y la otra duda es cuando estas sacando el ortogonal: (-2α+3β)(-2) + α = 0 ...De donde sale ese α que está independiente???.
Muchisimas gracias.

a) Completas la base del espacio completo con dos vectores que no estén en S y sean independientes.
b) Hago el producto escalar de un vector genérico de S y el primer vector de la base, e igualo a 0, con objeto de sacar un vector de S ortogonal a él y completar una base de dos vectores ortogonales.
¿Cómo explicar que 2/3 es mayor que 3/5?
Estoy realmente molesto mientras trataba de explicar a mi primo que 2/3 es mayor de 3/5 y siempre mi primo me dijo que (3 es mayor que 2 y 5 es mayor que 3) entonces 3/5 debe ser mayor que 2/3.
En esta etapa no puede calcular el decimal y no puede darse cuenta de que (2/3 = 0.66 y 3/5 = 0.6).
Mi primo tiene 8 años.

Hazle dos dibuos, lo típico de una tarata o algo asi. Divide uno en tres partes y el otro en 5 partes, le coloreas las partes correspondientes y de esa manera se ve muy bien. En este caso como es una pequña diferencia entre 0.66 y 0.6 tendrías que hacerlo detallado para que se aprecie.
Hola🤗 no se como sacar este logaritmo (sin utilizar la calcula calculadora). Mi profesor ha dicho que lo tengo que sacar como se hacía antes. El ejercicio es este:
log (32/5)
Y yo lo he desarrollado hasta este punto:
log (32/5)= log2^5-(1-log2)=5log2-1+log2=¿?
A partir de ahí no se seguir porque no se si lo he hecho bien o no. ¿Me podrían ayudar?
Hola a todos, necesitaría que me aclarasen este ejercicio.
Calcula el punto de intersección entre la recta tangente a la gráfica de la función f(x)= -x2 en el punto x= -2 y la recta tangente a la gráfica de la misma función en el punto x=2.
He calculado las rectas, derivando la función y sustituyendo y lo que me sale no coincide con la solución y no sé por qué.
La rectas me dan y=4x+4 e y= -4x-2
Gracias, y enhorabuena por vuestro trabajo.
Considera la función f(x)=x2 - 4x + 6.
a)Calcula las ecuaciones de las rectas tangentes a su gráfica paralelas a las bisectrices de los cuadrantes.
b)Halla el punto de corte entre ellas y el de cada una con el eje de coordenadas X .
c)Determina el área del triangulo cuyos vértices son los puntos anteriormente hallados.

Tienes la expresión de una función f que es continua y derivable en R, y la expresión de su función derivada es: f ' (x) = 2x - 4.
a1)
La ecuación cartesiana explícita de la bisectriz del primer y del tercer cuadrante es: y = x, por lo que tienes que su pendiente es m1 = 1.
Luego, planteas:
f ' (x) = m1, sustituyes y queda la ecuación:
2x - 4 = 1, de donde puedes despejar: x = 5/2;
luego evalúas en la expresión de la función y queda:
y = f(5/2) = (5/2)2 - 4(5/2) + 6 = 25/4 - 10 + 6 = 9/4;
por lo que tienes que la pendiente de la recta tangente es m1 = 1, y su punto de contacto con la gráfica de la función tiene coordenadas P1(5/2,9/4);
y puedes plantear la ecuación cartesiana de la recta tangente:
y - 9/4 = 1(x - 5/2), que al despejar queda en forma explícita: y = x - 1/4, que corta al eje coordenado OX en el punto de coordenadas A1(1/4,0).
a2)
La ecuación cartesiana explícita de la bisectriz del segundo y del cuarto cuadrante es: y = - x, por lo que tienes que su pendiente es m2 = - 1.
Luego, planteas:
f ' (x) = m2, sustituyes y queda la ecuación:
2x - 4 = - 1, de donde puedes despejar: x = 3/2;
luego evalúas en la expresión de la función y queda:
y = f(3/2) = (3/2)2 - 4(3/2) + 6 = 9/4 - 6 + 6 = 9/4;
por lo que tienes que la pendiente de la recta tangente es m2 = - 1, y su punto de contacto con la gráfica de la función tiene coordenadas P2(3/2,9/4);
y puedes plantear la ecuación cartesiana de la recta tangente:
y - 9/4 = - 1(x - 3/2), que al despejar queda en forma explícita: y = - x + 15/4, que corta al eje coordenado OX en el punto de coordenadas A2(15/4,0).
b)
Planteas el sistema de ecuaciones:
y = x - 1/4
y = - x + 15/4.
lo resuelves, por ejemplo con el método de igualación, y tienes que su solución es: x = 2, y = 7/4,
por lo que el punto de intersección de las dos rectas tiene coordenadas: C(2,7/4).
c)
Haz un gráfico cartesiano y señala en él a los puntos A1, A2 y C, y verás que determinan un triángulo con base en el eje OX, cuyas dimensiones son:
b = 15/4 - 1/4 = 14/4 = 7/2 (longitud de la base, que es la distancia entre los vértices A1 y A2),
h = 7/4 (longitud de la altura, que es la distancia entre el punto C y el eje coordenado OX);
luego, el área del triángulo queda:
A = (1/2)*b*h = (1/2)*(7/2)*(7/4) = 49/16.
Espero haberte ayudado.