Foro de preguntas y respuestas de Matemáticas

logo beUnicoos
Los foros de unicoos se han unificado en nuestra nueva plataforma beUnicoos. Para dejar nuevas preguntas deberás hacerlo allí, donde además podrás encontrar nuevas asignaturas y herramientas para ayudarte más con tus estudios.

  • icon

    carlos
    el 11/4/17

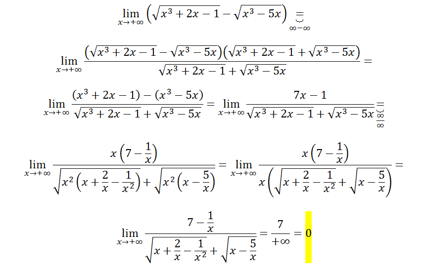
    Hola me podrian hacer este limite

    Lim cuando x tiende a +infite de (raiz(x^3+2x-1)-raiz(x^3-5x))

    replythumb_up0 voto/sflag
    icon

    Antonius Benedictus
    el 11/4/17


    thumb_up1 voto/sflag
    icon

    carlos
    el 12/4/17

    Lo entiendo todo hasta el ultimo momento, como se supone que razonas para decir que es 7/+infinito ? Supongo que solo te has fijado en la X con mayor grado, que esta al cuadrado, por lo que seria 7/x, me equivoco ?

    thumb_up0 voto/sflag
  • icon

    Valeria
    el 11/4/17

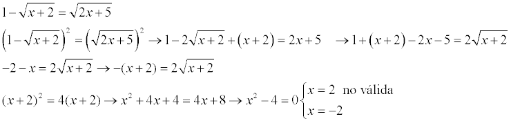
    Hola, estoy haciendo un ejercicio de derivadas.

    La funcion a derivar es la siguiente  -2x²+x-8 todo dividido x.

    Gracias.

    replythumb_up0 voto/sflag
    icon

    César
    el 11/4/17


    thumb_up0 voto/sflag
    icon

    Valeria
    el 11/4/17

    Cuàl fòrmula has utilizado?

    thumb_up0 voto/sflag
    icon

    Alex
    el 11/4/17

    No es ninguna formula, es dividir cada termino del polinomio por x por separado, y despues derivar cada termino.

    thumb_up0 voto/sflag
    icon

    Valeria
    el 11/4/17

    Alex entiendo tu explicaciòn, pero sigo sin entender porquè se hace asi y no se utilizan (u+v) y (u/v).Si alguien quiere explicàrmelo, se lo agradezco. Estoy haciendo el estudio analitico de una funciòn y me quedè bloqueada en esta parte.

    Gracias por las respuestas

    thumb_up0 voto/sflag
    icon

    Josue Mosh
    el 11/4/17

    El procedimiento de Cesar es correcto, antes de derivar cualquier función puedes utilizar cualquier herramienta algebraica válida para simplificar el proceso (no complicarse de más), te recomiendo que intentes hacer la suma algebraica de la función nueva que te dió Cesar y verás que llegas a tu misma función original de la pregunta, por lo que estarías trabajando lo mismo solo visto de otra forma.


    thumb_up0 voto/sflag
    icon

    Alex
    el 11/4/17

    Puedes hacerlo como quieras. La forma de César sencillamente es mucho mas simple y rápida.

    thumb_up0 voto/sflag
    icon

    Valeria
    el 12/4/17

    Muchas gracias  a todos por las explicaciones, lo he realizado y entendi el prosedimiento. !!!

    Buenas noches!!!

    thumb_up0 voto/sflag
  • icon

    Pilar Salgado Moreno
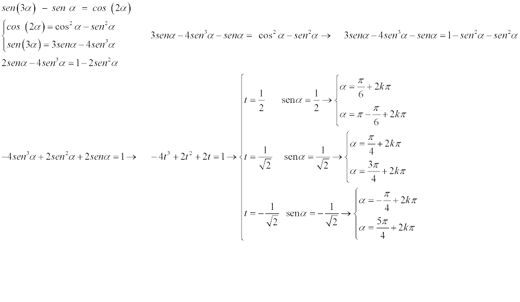
    el 11/4/17

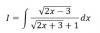
    ¿Cuál es la integral de raiz de (2x-3)/ aiz de (2x+3) +1? Graciass

    replythumb_up0 voto/sflag
    icon

    Antonius Benedictus
    el 11/4/17

    Foto del enunciado original.

    thumb_up0 voto/sflag
    icon

    Axel Morales Piñón.
    el 11/4/17

    Acaso ¿es ésta?


    thumb_up2 voto/sflag
    icon

    Pilar Salgado Moreno
    el 12/4/17

    Siii, esa es

    thumb_up0 voto/sflag
  • icon

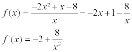
    Diego Tapia
    el 11/4/17

    Este ejercicio lo hizo mi profe pero sigo sin entender como saca las x.Ayuda

    replythumb_up0 voto/sflag
    icon

    Antonius Benedictus
    el 11/4/17


    thumb_up1 voto/sflag
    icon

    César
    el 11/4/17


    thumb_up1 voto/sflag
  • icon

    Antonio Martinez Parra
    el 11/4/17

    hola , a ver quien me puede ayudar , tengo un ejercicio para resolver y lo he hecho de 2 maneras y nada .Se trata de representar gráficamente estas dos rectas 3x-4y=-6 ; x+2y=8 , gracias

    replythumb_up0 voto/sflag
    icon

    César
    el 11/4/17


    thumb_up0 voto/sflag
  • icon

    B
    el 11/4/17

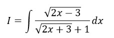
    Hola. Me podríais ayudar con esta demostración de trigonometría ?

    Denostrar que : sen(3 * alfa) - sen (alfa) = cos (2 * alfa)

    No me sale.

    Muchas gracias. 

    replythumb_up0 voto/sflag
    icon

    Antonius Benedictus
    el 11/4/17

    Normal, es falsa.


    thumb_up0 voto/sflag
    icon

    César
    el 11/4/17


    thumb_up0 voto/sflag
  • icon

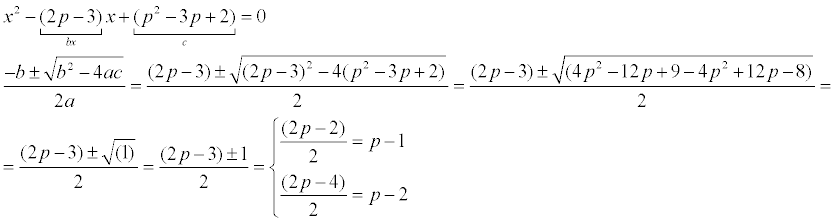
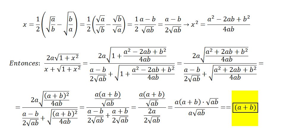
    Esteban Fernandez
    el 11/4/17

    Hola únicos, tengo duda sobre el siguiente ejercicio( el numero 2 de la foto), al calcular el valor de x me da que es x= a+b pero no estoy del todo seguro, me podrían ayudar porfavor?? Gracias!! 

    replythumb_up0 voto/sflag
    icon

    Antonius Benedictus
    el 11/4/17


    thumb_up0 voto/sflag
  • icon

    Lili
    el 11/4/17

    no puedo hacer esta matriz inversa... ayuda por favor


    replythumb_up0 voto/sflag
    icon

    Antonius Benedictus
    el 11/4/17


    thumb_up0 voto/sflag
    icon

    César
    el 11/4/17


    thumb_up0 voto/sflag
  • icon

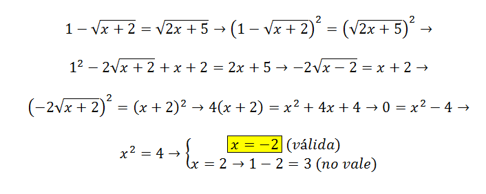
    Diego Tapia
    el 11/4/17

    Esta bien resuelto este ejercicio?

    replythumb_up0 voto/sflag
    icon

    Antonius Benedictus
    el 11/4/17


    thumb_up1 voto/sflag
    icon

    Diego Tapia
    el 11/4/17

    Gracias

    thumb_up0 voto/sflag
    icon

    César
    el 11/4/17


    thumb_up1 voto/sflag