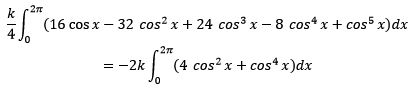
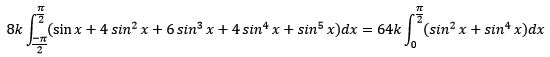
Tengo esta duda. al evaluar estas integrales definidas el autor del libro donde lo ando checando omitió todas las funciones trigonométricas con expontentes impares, diciendo que se puede llegar a una expresión equivalente por que son funciones impares. No entiendo muy bien por que esto es posible.
buenas
me piden resolver la siguiente ecuación de 2 grado (3x-1)(x+4)-(x+2)^2=-11
me gustaría ver el desarrollo de la misma para asi ver como se resuelve , y no tan solo el resultado.
gracias
como puedo calcular estos polinomios
A(x)= 2x - 3x + x - 7
B(x)= x2 + 7x2 - 4x a) A(x) + B(x) + C(x)
C(x)= - 2x2 + x - 5

Por favor, verifica que estén bien escritos los términos en los polinomios A y B (observa que tienes dos términos con grados iguales en cada uno.
Luego, para sumar los tres polinomios, simplemente debes sumar los términos de igual grado: los términos cuadráticos se suman entre sí por una parte, los términos lineales por otra, y los términos constantes por otra diferente.
Espero haberte ayudado.
Teoremas simples que son ejemplos de matemáticas profundas
Por lo tanto,
esta pregunta se pregunta acerca de cómo útiles trucos computacionales
son a la investigación de matemáticas, y la respuesta de varias personas
fue "bien, los trucos computacionales son a menudo super cool teoremas
disfrazados". Entonces, ¿qué "trucos computacionales" o "teoremas fáciles" o "patrones de diversión" resultan ser teoremas importantes?
La respuesta
ideal a esta pregunta sería un tema que se puede entender en dos niveles
diferentes que tienen un gran abismo en términos de sofisticación entre
ellos, aunque el ejemplo simplista no tiene que ser "trivial".
Por ejemplo, el
teorema de factorización primo único es a menudo probado a partir del
algoritmo de división a través del lema de Bezut y el hecho de que p | ab → p | a o p | b. Una prueba
virtualmente idéntica le permite establecer que cada Dominio Euclidiano
es un dominio de factorización único, y el problema como un todo - una
vez debidamente abstraído - da lugar a la idea de ideales y una cantidad
significativa de teoría de anillos.
Por
otro ejemplo, es bien sabido que los espacios vectoriales de dimensión
finita están determinados exclusivamente por su campo base y su
dimensión. Sin embargo, un teorema mucho más general en
Teoría de Modelos básicamente le permite decir "dado un conjunto de
objetos que tienen un parámetro de dimensión-como que se sitúan de la
manera correcta, cada objeto con finito" dimensión "está determinado
únicamente por su ejemplo mínimo y La "dimensión".
En realidad, no recuerdo exactamente la afirmación exacta de este
teorema, así que si alguien quiere explicar en detalle cómo los espacios
vectoriales son un ejemplo particular de teorías k-categóricas para
cada k finito que sería grande.
De los comentarios: En
cierto sentido estoy interesado en la pregunta inversa como este mensaje
de desbordamiento de matemáticas. En lugar de
interesarme por las matemáticas profundas que producen pruebas
horriblemente complicadas de ideas simples, quiero ideas simples que
contengan dentro de ellas, o generalizar, matemáticas de sorprendente
profundidad.
Sea V el volumen del canal
V = Atrapezoide · p
donde p es la profundidad del mismo la cual es una constante
y Atrapezoide = (b+B)/2 · h
donde b = 10 (base menor), B (base mayor) y h(altura)
B = 10 + 2·a siendo a = 10·cos θ pues cos θ = a/10
y h= 10·sen θ pues sen θ = h/10
por lo que:
V = Atrapezoide · p = (b+B)/2 · h · p = (10+(10 + 2·(10·cos θ)))/2 · (10·sen θ) · p = 100(1+cosθ )senθ ·p
Ahora maximicemos el volumen, para ello derivamos e igualamos a cero y resolvemos la ecuación
V = 100p(1+cosθ )senθ
V' = 100p[(-sen2θ+cosθ(1+cosθ )] = 100p(-sen2θ+cosθ+cos2θ)=100p(-(1-cos2θ)+cosθ+cos2θ)=
=100p(-1+cos2θ+cosθ+cos2θ)=100p(2cos2θ+cosθ-1)
100p(2cos2θ+cosθ-1)=0 =>2cos2θ+cosθ-1=0 => cosθ=-1 y cosθ=1/2
si cosθ=-1 => θ=180º #
cosθ=1/2 => θ=60º
Faltaría comprobar que efectivamente es un máximo

Observa que la figura es el área de sección transversal del canal (A), cuya longitud denominamos L.
Luego, el volumen queda expresado: V = A*L (1).
Luego, pasamos a la figura.
Traza dos segmentos verticales desde los extremos del segmento horizontal de longitud 10 pulgadas, y verás que el trapecio isósceles queda dividido en dos triángulos rectángulos con iguales dimensiones y un rectángulo cuya base es el segmento indicado.
Luego, observa que la longitud de la base de uno de los triángulos es 10*cosθ (en pulgadas), y que la altura de los triángulos, que es también la altura del rectángulo, mide 10*senθ (en pulgadas).
Luego, el área de un triángulo queda (recuerda la identidad del seno del doble de un ángulo):
AT = 10*cosθ*10*senθ/2 = 50*cosθ*senθ = 25*(2*cosθ*senθ) = 25*sen(2θ).
Luego, el área del rectángulo queda:
AR = 10*10*senθ = 100*senθ.
Luego, el área de sección transversal (trapecio) queda:
A = AR + 2*AT = 100*senθ + 2*25*sen(2θ) = 100*senθ + 50*sen(2θ) (en pulgadas cuadradas).
Luego, sustituimos en la expresión del volumen señalada (1) y queda:
V(θ) = ( 100*senθ + 50*sen(2θ) )*L (en pulgadas cúbicas).
Luego, observa que la función es continua y derivable para todo número real θ, por lo que planteamos la expresión de su derivada primera:
V ' (θ) = ( 100*cosθ + 100*cos(2θ) )*L;
luego, planteamos la condición de punto crítico (posible máximo o posible mínimo):
V ' (θ) = 0, sustituimos en el primer miembro y queda
( 100*cosθ + 100*cos(2θ) )*L = 0, hacemos pasaje del facto L como divisor y queda:
100*cosθ + 100*cos(2θ) = 0, dividimos por 100 en todos los términos de la ecuación y queda:
cosθ + cos(2θ) = 0,
aplicamos la identidad del coseno del doble de un ángulo en función del coseno del ángulo y queda:
cosθ + 2*cos2θ - 1 = 0, ordenamos términos y queda:
2*cos2θ + cosθ - 1 = 0, que es una ecuación cuadrática con incógnita cosθ, por lo que tenemos dos opciones:
a) cosθ = 1/2, aquí compones con la función inversa del coseno y queda:
θ = π/3;
b) cosθ = -1, aquí compones con la función inversa del coseno y queda:
θ = π, que no tiene sentido para este problema.
Espero haberte ayudado.