Foro de preguntas y respuestas de Matemáticas

logo beUnicoos
Los foros de unicoos se han unificado en nuestra nueva plataforma beUnicoos. Para dejar nuevas preguntas deberás hacerlo allí, donde además podrás encontrar nuevas asignaturas y herramientas para ayudarte más con tus estudios.

  • icon

    Marta
    el 12/4/17

    Como debo continuar el apartado c) ?


    replythumb_up0 voto/sflag
    icon

    Antonius Benedictus
    el 12/4/17

    Coge la matriz A que te dan (no la que has puesto).

    Multiplícala por sí misma.

    E iguala término a término con la que te dan en el apartado c).

    Verás cómo te van saliendo los valores de x,y,z.


    thumb_up0 voto/sflag
  • icon

    Andres Valenzuela
    el 12/4/17

    Buen dia. Alguien puede ayudarme con un problema de sistema de ecuaciones y matrices

    No sabría como empezar


    Muchas gracias


    replythumb_up0 voto/sflag
    icon

    Antonius Benedictus
    el 12/4/17


    thumb_up0 voto/sflag
  • icon

    Deidara Stick.
    el 12/4/17

    Hola unicoos.

    Podria alguien colaborarme con un ejercicio que implica geometría . x fa

    Gracias de antemano....

    replythumb_up0 voto/sflag
    icon

    Antonius Benedictus
    el 12/4/17


    thumb_up0 voto/sflag
  • icon

    N1G1 . GAME
    el 12/4/17

    Hola buenas noches, me podrias ayudar a obtener el valor exacto de:

    Cos^1(1/2) 
    Necesito que me lo expliqueis por favor.
    La respuesta tiene que ser pi/3.

    replythumb_up0 voto/sflag
  • icon

    Cristhian Alexander Montes
    el 12/4/17
    flag


    replythumb_up0 voto/sflag
    icon

    Antonius Benedictus
    el 12/4/17

    Christian, esto es larguísimo. Ve tú viendo si se verifican todas las propiedades y sube las que no te salgan.

    thumb_up1 voto/sflag
  • icon

    Matkhev
    el 12/4/17

    Buenas noches! Necesito resolver esta inecuación de 3er grado, he visto los videos pero no he conseguido entederlo ya que en los videos de David solo había de inecuaciones de grado 4 y no usaba ruffini.

    La inecuacion es la siguiente: x al cubo - x es menor que 0

    replythumb_up0 voto/sflag
    icon

    Cristhian Alexander Montes
    el 12/4/17


    thumb_up1 voto/sflag
  • icon

    Ana De Dios PRADA GUTIERREZ
    el 12/4/17

    Hola buenas noches tengo inquietud con el siguiente ejercicio 

    Dice: Reduzca las siguientes ecuaciones a ecuaciones polinomiales y declare el grado resultante

    (y-2)(y+5)=(2y-1)/y+1)+7


    replythumb_up0 voto/sflag
    icon

    Ángel
    el 12/4/17

    Supongo que te referirás a (y-2)(y+5)=(2y-1)/(y+1) + 7

    (y-2)(y+5)  =  (2y-1)/(y+1)+7

    [(y2+5y-2y-10)(y+1)]/(y+1)  =  (2y-1)/(y+1) + [7(y+1)]/(y+1)

    [(y2+5y-2y-10)(y+1)]  =  (2y-1) + [7(y+1)]

    y3+y2+5y2+5y-2y2-2y-10y-10  =  2y-1+7y+7

    y3+4y2-16y-16=0

    ECUACIÓN POLINOMIAL DE GRADO 3.

    thumb_up0 voto/sflag
  • icon

    Claudia
    el 12/4/17


    Ayuda!!

    replythumb_up0 voto/sflag
    icon

    Ángel
    el 12/4/17

    a) Al comienzo (0 horas): 2=1 bacteria

                           (4 horas): 2= 16 bacterias

                           (7 horas): 27 = 128 bacterias


    b) Cuando el nº de bacterias sea de 1024 bacterias no podrá ser consumida, es decir, cuando pasen 210HORAS= 1024 

    Si eran las 10:00 a.m. y tienen que pasar 10 horas, entonces 10:00+10:00= 20:00 (a las 8 de la tarde la hortaliza ya no será apta para el consumo).


    c) La fórmula será la función exponencial y=2x ; siendo x el nº de horas e y el nº de bacterias.


    thumb_up1 voto/sflag
    icon

    Claudia
    el 12/4/17

    las unidades serian baterias/mm^2 ?


    thumb_up0 voto/sflag
    icon

    Ángel
    el 12/4/17

    Sí. " bacterias/(mm)2 ".

    thumb_up1 voto/sflag
  • icon

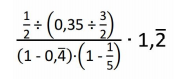
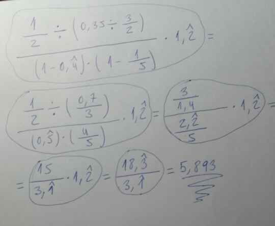
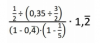
    Claudia
    el 12/4/17

    Hola, cuanto seria el resultado?

    replythumb_up0 voto/sflag
    icon

    Ángel
    el 12/4/17


    thumb_up0 voto/sflag
  • icon

    Gerardo Guerra Sayan
    el 12/4/17

    Buenas tardes, 

    Quisiera saber como puedo resolver esta ecuacion trigonometrica: tagx=2. Muchas gracias.

    replythumb_up0 voto/sflag
    icon

    Ángel
    el 12/4/17


    Tienes que calcular la inversa de la tangente de 2 (en la calculadora "shift+tan+2")

    Obtendrás si la tienes en grados :


    O en radianes:


    thumb_up0 voto/sflag