Foro de preguntas y respuestas de Matemáticas

logo beUnicoos
Los foros de unicoos se han unificado en nuestra nueva plataforma beUnicoos. Para dejar nuevas preguntas deberás hacerlo allí, donde además podrás encontrar nuevas asignaturas y herramientas para ayudarte más con tus estudios.

  • icon

    Osmaynis Derken González
    el 31/3/17

    Hola sera que me puedan ayudar, la he echo  y siempre me termino enredando así como la tengo ahí esta mala creo 

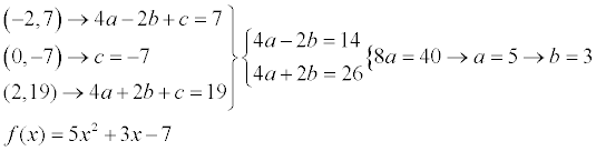
    lo he echo  con plano cartesiano ,pero no se como acomodar la parábola, de antemano gracias por la ayuda,

    replythumb_up0 voto/sflag
    icon

    César
    el 31/3/17


    thumb_up1 voto/sflag
  • icon

    Luciano De Renzo
    el 31/3/17

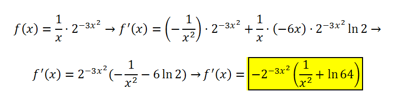
    Buenas noches, estoy intentando hacer una derivada y entiendo que me salió pero siempre se me complica bastante simplificar y operar despues. Llegue hasta ese punto y probe algunas cosas pero no llego al resultado correcto que es f'(x)=(x^-2+6ln2).(-2^-3x^2) Gracias.


    replythumb_up0 voto/sflag
    icon

    Antonius Benedictus
    el 31/3/17


    thumb_up0 voto/sflag
  • icon

    Diego
    el 31/3/17

    ¿Puede alguien explicarme como hacer estos ejercicios? O al menos el numero 7, por favor.

    replythumb_up0 voto/sflag
    icon

    Antonius Benedictus
    el 31/3/17


    thumb_up1 voto/sflag
    icon

    Diego
    el 31/3/17

    muchas gracias!!

    thumb_up0 voto/sflag
  • icon

    Bruno
    el 31/3/17

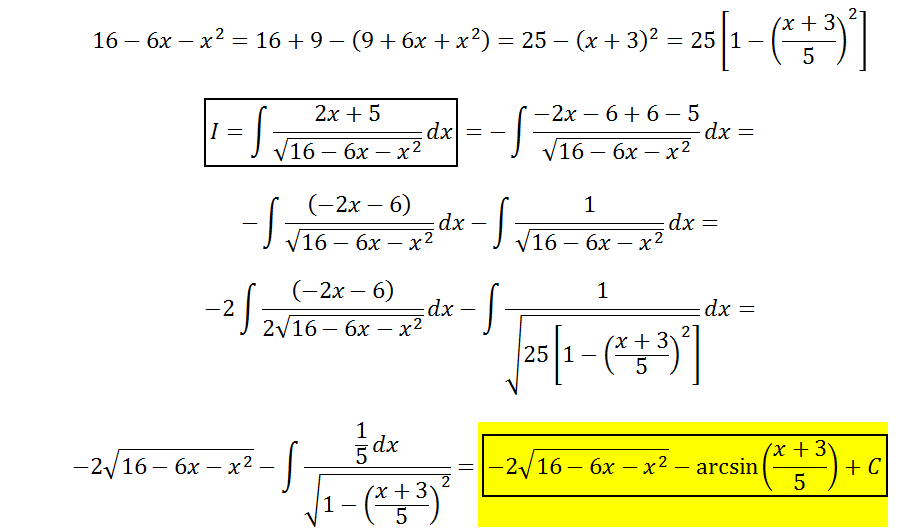
    Me podrian ayudar con la sig integral porfavor 

    replythumb_up0 voto/sflag
    icon

    Antonius Benedictus
    el 31/3/17


    thumb_up0 voto/sflag
    icon

    César
    el 31/3/17


    thumb_up0 voto/sflag
  • icon

    Lola
    el 31/3/17
    flagflag

    Hola,como se resuelve esto paso a paso? Es de fisica pero no responde nadie! Muchas gracias!

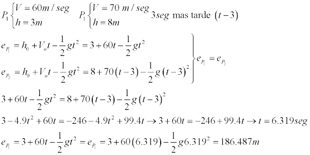
    Una pelota es arrojada hacia arriba desde 3m de altura con una velocidad de 60m/seg,tres segundos mas tarde es arrojada hacia arriba otra pelota en la misma vertical desde 8 m de altura con una velocidad de 70 m/seg.¿En que instante y a que altura las dos pelotas se chocan?

    replythumb_up0 voto/sflag
    icon

    César
    el 31/3/17


    thumb_up0 voto/sflag
  • icon

    Camila Tey
    el 31/3/17

    Hola chicxs, tengo un libro llamado " Libros de Matemática a Medida" de Ediciones Logikamente. Esta bueno, lo pueden bajar de internet. Para los que están en secundario o terciarios es re re util. Ami me re sirvió .

    replythumb_up3 voto/sflag
    icon

    David
    el 17/4/17

    :D Gracias!

    thumb_up0 voto/sflag
  • icon

    Meiko Benegas
    el 31/3/17

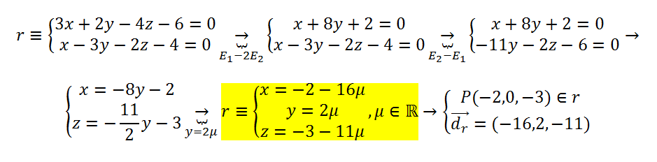
    Gente, como halló un punto que pertenezca a la recta?? 

    El enunciado me dice que halle las ecuaciones de recta a partir de éste dato: 

    Es la recta intersección de los planos 3x + 2y - 4z - 6 = 0 y x - 3y - 2z - 4 = 0.

    replythumb_up0 voto/sflag
    icon

    Gianluca
    el 31/3/17
    flag

    ¿Y te dan algún vector director o pendiente en concreto?


    thumb_up1 voto/sflag
    icon

    Antonius Benedictus
    el 31/3/17


    thumb_up1 voto/sflag
    icon

    Meiko Benegas
    el 31/3/17

    No, o sea el vector dirección lo puedo sacar del vector normal de alguno de los dos planos, pero no sabía cómo encontrar un punto que pertenezca a la recta con los datos que me daban de los planos

    thumb_up1 voto/sflag
  • icon

    Daniel Tennant
    el 31/3/17

    Como encuentro el rango de esta función? g(x)= 5 / 2x+3 Gracias

    replythumb_up0 voto/sflag
    icon

    Ángel
    el 31/3/17

     g(x)= y= 5/(2x+3)


    1er paso) Despejamos la x de la función g(x) o lo que es lo mismo: y

    y= 5/(2x+3)

    y*(2x+3)=5

    2x+3= 5/y

    2x= (5/y)-3

    x=[(5/y)-3]/2

    x=(5/2y)-(3/2)

    x=(5-3y)/2y


    2º paso) Cambiamos las y por x en la función del paso anterior

    (5-3x)/2x


    3er paso) Calculamos el dominio de lo obtenido en el paso anterior (O LO QUE ES LO MISMO, LA INVERSA)

    Se trata de una función racional con numerador y denominador de tipo polinómicos (por separados el dominio sería todo R), pero al ser racional en su conjunto tenemos que ver los valores que anulen el denominador y por tanto, indeterminen la función. Lo hacemos:

    Denominador: 2x

    2x=0

    x= 0/2= 0


    DE ESTO CONCLUIMOS QUE EL RANGO DE g(x) ES TODO R EXCEPTO EL CERO (QUE ES EL VALOR QUE INDETERMINA LA FUNCIÓN DE LA FUNCIÓN INVERSA)

    RANGO= (-INF,0) U (0,INF)= R- {0}

    thumb_up1 voto/sflag
    icon

    Daniel Tennant
    el 31/3/17

    MUCHAS GRACIAS!!

    thumb_up0 voto/sflag
  • icon

    Hans Beckenbauer
    el 31/3/17

    ayuda porfavor, ¿como resolveria esta operación?

    replythumb_up0 voto/sflag
    icon

    Ángel
    el 31/3/17

    [log3(27-x3)]/[log3(3-x)] = 3


    log3(27-x3) = 3*[log3(3-x)]


    log3(27-x3) = [log3(3-x)3


    log3(27-x3) = log3(3-x)3


    (27-x3) = (3-x)3


    Continúa tú desarrollando el producto notable (3-x)3, te recomiendo que si no te lo sabes lo busques...obtendrás el valor o valores de x, tendrás que verificar estas soluciones o valores en la ecuación original y así concluir qué valores hacen verdadera nuestra igualdad.


    Y si sigues atascado, vuelve a consultar.


    thumb_up1 voto/sflag
    icon

    Hans Beckenbauer
    el 31/3/17

    lo rehice y me quedo asi 

    thumb_up0 voto/sflag
    icon

    Ángel
    el 31/3/17

    Va de lujo...terminamos:

    -9x2+27x=0

    9x2-27x=0

    9(x2-3x)=0

    x2-3x=0

    x(x-3)=0

    x1=0

    x2-3=0---->   x2=3


    Por último comprobamos que cuando x es sustituida por x1 en [log3(27-x3)]/[log3(3-x)] = 3

    esto nos queda:

    [log3(27-03)]/[log3(3-0)] = 3

    (log333)/(log33) = 3

    3/1=3

    3=3  VERDADERO

    Por lo tanto, x=0 es una solución válida


    En cambio, si hacemos x=3 en [log3(27-33)]/[log3(3-3)] = 3

    [log3(0)]/[log3(0)] = 3    FALSO, ya que el logn0 no está definido


    Por lo tanto, la única solución es x=0

    thumb_up1 voto/sflag