Foro de preguntas y respuestas de Matemáticas

logo beUnicoos
Los foros de unicoos se han unificado en nuestra nueva plataforma beUnicoos. Para dejar nuevas preguntas deberás hacerlo allí, donde además podrás encontrar nuevas asignaturas y herramientas para ayudarte más con tus estudios.

  • icon

    Eva Pérez Acosta
    el 29/3/17

    He intentado hacee este limite pero me sale raro, alguien me ayuda porfavor? 

    replythumb_up0 voto/sflag
    icon

    Antonio
    el 29/3/17

    Es una indeterminación 1

    Se resuelve aplicando:

    Limite UNO ELEVADO A INFINITO sin fórmula
    Limite UNO ELEVADO a INFINITO

    La solución de éste es e4


    thumb_up1 voto/sflag
  • icon

    Eva Pérez Acosta
    el 29/3/17

    Me podéis ayudar con el dos y el tres porfavoor? Graciaas

    replythumb_up0 voto/sflag
    icon

    Antonio
    el 29/3/17

    Al dos le falta enunciado.

    El tres es una indeterminación 0/0 que se resuelve aplicando la regla de L'Hôpital.

    thumb_up1 voto/sflag
    icon

    Eva Pérez Acosta
    el 29/3/17

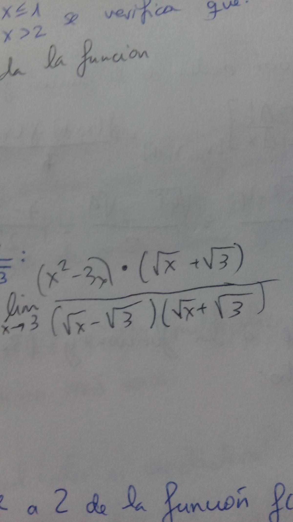
    En el dos solo me dan ese enunciado pero me dice que se verifica un limite, pero no se cual

    thumb_up0 voto/sflag
    icon

    Ángel
    el 29/3/17

    Lo único que puedes "verificar" ahí que en (1,2] no está definida la función, no es contínua en ese intervalo 

    Que el lím(x->1-) x+3= 4

    y el lim(x-> 2+) es 2

    No sé si es eso a lo que se refiere el ejercicio :S

    thumb_up2 voto/sflag
    icon

    Antonio
    el 29/3/17

    Insisto, le falta algo de enunciado.

    ¿Hiciste el tres?

    La solución es 6√3

    thumb_up1 voto/sflag
    icon

    Eva Pérez Acosta
    el 29/3/17

    Asi he empezado bien? 

    thumb_up0 voto/sflag
    icon

    Antonio
    el 29/3/17

    Si, vas bien

    ahora

    multiplica los dos factores del denominador

    y saca factor común a la x del primer factor del numerador

    thumb_up1 voto/sflag
    icon

    Eva Pérez Acosta
    el 29/3/17

    Así estaría bien?


    thumb_up0 voto/sflag
    icon

    Eva Pérez Acosta
    el 29/3/17

    Ya está! Así verdad?

    thumb_up0 voto/sflag
    icon

    Ángel
    el 29/3/17

    Perfect.

    thumb_up1 voto/sflag
  • icon

    Eva Pérez Acosta
    el 29/3/17

    A partir de las funciones potenciales el número de soluciones reales de la ecuación 1/x^3=x^3. Alguien me ayuda con esto, graciaaas

    replythumb_up0 voto/sflag
    icon

    Antonio
    el 29/3/17

    No te se ayudar como demostrarlo usando funciones potenciales, pero:

    Las soluciones son:

    x=1

    x=-1

    thumb_up1 voto/sflag
    icon

    Ángel
    el 29/3/17

    1/x3= x3

    1=x3*x3

    1=x6

    .

    .

    ......Como la raíz es de índice par (o el denominador del exponente), entonces las soluciones son x1= - (1)1/6-1  y (1)1/61

    Raíz sexta de x = x elevado a un sexto

    thumb_up2 voto/sflag
  • icon

    Patri Lopez
    el 29/3/17

    • Alguien puede resolverme el 12 y el 13?? No los entiendo, los he intentado y no me da igual que el resultado 😣😥

    replythumb_up0 voto/sflag
    icon

    NicO
    el 29/3/17

    el 12 facil calculas la funcion de la diagonal con el teorema de pitagoras y haces la derivada de la funcion y lo que te salga la x lo substituyes en la funcion

    thumb_up1 voto/sflag
  • icon

    Eva Pérez Acosta
    el 29/3/17


    replythumb_up0 voto/sflag
    icon

    Antonio
    el 29/3/17

    Está bien, pero no es lo que se pide.

    Hallaste fog(-2) y se pide (fog)-1(-2)

    fog(x) = 1/(x-2) + 3

    1/(x-2) + 3 = -2

    ...

    x = 9/5


    thumb_up1 voto/sflag
    icon

    Eva Pérez Acosta
    el 29/3/17

    Gracias!!

    thumb_up0 voto/sflag
  • icon

    britnny hermoso
    el 29/3/17

    Porfa me podriais ayudar con los apartados d y e ? Esque no entiendo que euiere decir esa raya entre ambos vectores...         Gracias


    replythumb_up0 voto/sflag
    icon

    César
    el 29/3/17

    El otro es totalmente similar 

    thumb_up1 voto/sflag
    icon

    britnny hermoso
    el 30/3/17

    muchas gracias

    thumb_up0 voto/sflag
  • icon

    Sergio
    el 29/3/17

    David, podrías subir videos de las ecuaciones de las parábolas e hipérbolas y tanto como elipse, en plan.. como se dibujan, como se hayan los focos... me sería de gran ayuda

    replythumb_up0 voto/sflag
    icon

    David
    el 17/4/17

    Cónicas #NOSVEMOSENCLASE ;)

    thumb_up1 voto/sflag
  • icon

    Natalia
    el 29/3/17

    1. en la fraccion el signo positivo se pone en el numero mayor aunq el signo realmente lo lleve el numero mas pequeño?
    2. por ejemplo en este ejercicio (-1/3)-1=(-3/1)1= -3/1=-3 al hacer la inversa porque se queda el signo negativo en el 3, si lo que cambia el signo es el exponente?
    3. y otra duda porque 25•2 es igual a 2/2-5       ?

    replythumb_up0 voto/sflag
    icon

    Antonius Benedictus
    el 29/3/17

    Ten presente estas reglas:


    thumb_up0 voto/sflag
    icon

    Jose Manuel
    el 29/3/17

    El signo negativo no pertece a uno de los números de la fracción, sino que debe entenderse como una fracción negativa, no pierdas la perspectiva, (-1/3) es lo mismo que -(1/3), que es -0.33333. Por otro lado, elevar un número a -1 significa invertirlo, es decir, es lo mismo que hacer 1/(ese número). En este caso estamos haciendo 1/(-0.3333)=-3, y da igual que el signo menos esté en el denominador, en el numerador o colocado delante de la línea de la fracción, porque en los tres sitios significa lo mismo, que ese número en su conjunto, es negativo.

    thumb_up1 voto/sflag
    icon

    NicO
    el 29/3/17

    hola, da igual donde los pongas pero lo mas normal es ponerloarriba por eso lo lleva el 3 que esta arriba y 2 elevado a menos cinco pasa con positivo arriba por eso es igual

    thumb_up1 voto/sflag
  • icon

    Carlos A. Borasteros
    el 29/3/17

    Nuestro profesor nos ha explicado los números complejos de una manera distinta de la que se da en bachillerato y no lo entiendo muy bien. Nos lo ha enseñado todo utilizando la formula de Euler(1+eπi=0), la forma trigonométrica(eiθ=r•(cosθ+i(senθ)) y la forma polar (z=r•eiθ)

    r=modulo de z.

    Me encantaria si pudieses explicar las raices con números complejos utilizando estas formulas, me ayudaría un montón.Gracias.

    replythumb_up0 voto/sflag
    icon

    Antonius Benedictus
    el 29/3/17


    thumb_up0 voto/sflag
  • icon

    Laura Muñoz Fernandez
    el 29/3/17

    ¿Me podríais ayudar con este ejercicio? No he encontrado ningún vídeo en el que David resuelva sistemas logarítmicos 

    lg x+log y=3

    2 lg x - 2 lg y= -1

    replythumb_up0 voto/sflag
    icon

    Antonius Benedictus
    el 29/3/17


    thumb_up1 voto/sflag
    icon

    Antonio
    el 29/3/17