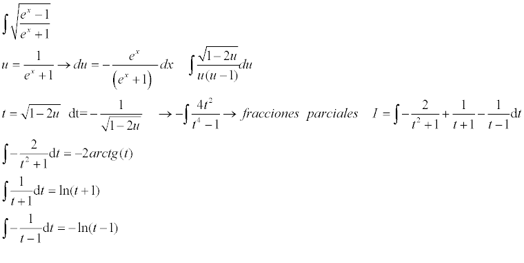
Buenas tardes, me podrían resolver este ejercicio de funciones:
f(x) = x2 + 2x
g(x)= √x+3
gο f / fοg
Muchas gracias
Composicion de funciones y Funcion Inversa
f(x) = x2 + 2x
g(x)= √x+3
gο f (x) = √(x2 + 2x)+3
fοg (x) = (√x+3)2 + 2(√x+3)
Buenas, miren me han mandado resolver lo siguiente y no sé ni por dónde empezar, , por favor espero que me ayuden a resolverlo ya que me juego la asignatura ( si lo llevo bien puedo conseguir hasta un punto más en la nota final) y que me digan los pasos a seguir para resolverlo. Es muy largo, el enunciado y los apartados son:
El sistema circulatorio está formado por vasos sanguíneos ( arterias, arteriolas, capilares, y venas) que conducen la sangre del corazón a los órganos, y de nuevo al corazón. Este sistema debe funcionar con el gasto mínimo de energía. Así, es razonable suponer que cuando una arteria se ramifica, el ángulo entre la arteria madre y la hija debe hacer mínima la resistencia al flujo de la sangre, dado que la energía disminuye si lo hace la resistencia mencionada.
Poiseulle estableció experimentalmente que la resistencia al flujo de la sangre en una arteria es directamente proporcional a la longitud de arteria e inversamente proporcional a la cuarta potencia de su radio.La constante de proporcionalidad estará determinada por la viscosidad de la sangre
>>>>Construya un modelo matemático que permita estudiar la resistencia al flujo de la sangre en función del ángulo de ramificación entre arteria madre e hija.
>>>>Determine el ángulo que deben formar las dos arterias en su ramificación, explicando y justificando claramente lo que hace. ( Use el programa de cálculo Máxima)
Gracias de antemanoo

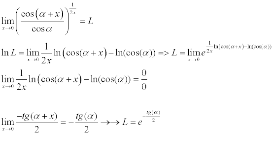
Vamos con una orientación:.
En tu anteúltima línea (en la que tienes senos y cosenos en el argumento del límite) puedes aplicar las identidades trigonométricas:
sen(a+x) = sena*cosx + cosa*senx (seno de la suma de dos ángulos), y
cos(a+x) = cosa*cosx - sena*senx (coseno de la suma de dos ángulos),
y luego continúas la tarea, y si es preciso no dudes en volver a consultar.
Espero haberte ayudado.