Hola! alguien podría ayudarme a resolver un ejericicio de numeros complejos:
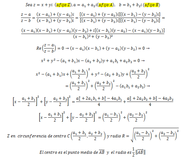
1) Hallar todos los numeros complejos Z que cumplan que Re((Z -a)/(Z - b )) = 0, donde a y b son numeros complejos. Y también en el caso de que consideres a, b numeros reales
Espero que alguien sepa como hacerlo porque llevo varios dias dandole vueltas Muchas gracias!

Me encantaría ayudarte, pero no respondo dudas universitarias que no tengan que ver específicamente con los videos que ya he grabado como excepcion. O de otras asignaturas que no sean matemáticas, física y química. Lo siento de corazón… Espero lo entiendas
Ojalá algun unicoo universitario se anime a ayudarte (de hecho lo ideal es que todos los universitarios intentarais ayudaros los unos a los otros)
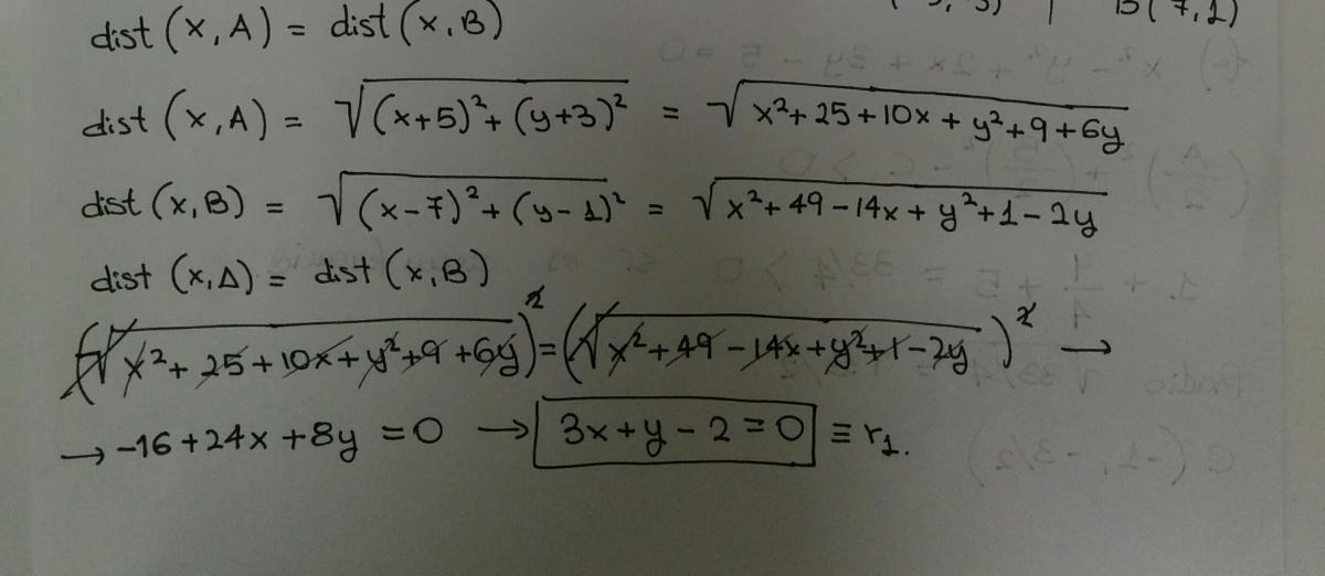
Hola! Podríais decirme cómo se acaba este ejercicio por favor? Yo me he quedado donde muestra la imagen. Muchas gracias!
Se consideran el plano TT: 2x-y+z+1 0, la recta s: x-3y 0, z 1 y el punto A(4,0,-1). Hallar el pano que pasa por A, es paralelo a la recta s y perpendicular al plano TT. (Soluc: x-y-5z-g 0)
Si tengo esta integral: ∫x^(-1).dx ¿Cómo se resolvería? Porque claro, no puedo aplicar la fórmula de (u^(n+1))÷(n+1) ya que -1+1 es 0. ¿Entonces cómo lo resolvería? Muchas gracias.
Necesito ayuda con este problema, gracias de antemano.
En una conferencia regional, la razón de mujeres y hombres es de 2:3
.
En un momento dado se retiran 8 mujeres y llegan 4 hombres, con lo
que la razón es ahora de 3:5
. ¿Cu´antas mujeres deben llegar para que el
número de mujeres sea igual al número de hombres?.