Alguien me peude explicar como se hace esto por favor, tengo examen mañana
2(x-2)2 -(x-2)(x+2)=
Gracias y lo antes posibleee
Necesito ayuda por favor!!!.
En un examen los problemas resueltos y no resueltos están en la razón
2 : 3. Dentro de los problemas contestados, el número de problemas
resueltos correctamente y los que no, están en la razón 1 : 2. ¿Cuál es
la razón de los problemas mal contestados con respecto al total?

R/NR=2/3.... R=(2/3)NR..... Como R+NR = N, siendo N el numero total de problemas..... (2/3)NR+ NR = N.... (5/3)NR= N
C/NC = 1/2.... C=NC / 2.... Como C+NC= R.... NC/2 + NC=R... (3/2)NC=R... Como R=(2/3)NR... (3/2)NC = (2/3)NR... NC=(4/9)NR
Te piden NC/N = [(4/9)NR] / [(5/3)NR] = 12/45 = 4/15
Buenas. Para hallar el área dado entre 3 funciones, ¿cuáles son los pasos que tengo que seguir? Es decir, sé que hay que empezar hallando los puntos de corte entre las 3 funciones, pero cómo puedes igualar 3 funciones? Sé hacerlo con dos sin problema, pero con 3 no soy capaz de comprenderlo, y tampoco sé después aplicar la regla de Barrow. ¿Cuáles son los pasos que hay que seguir exactamente? Muchísimas gracias.
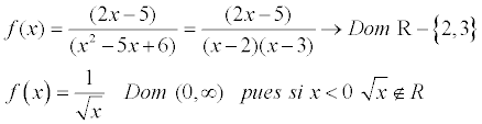
Hola. Una duda sobre el tema de funciones de primero de bachiller.
¿que diferencia existe a la hora de calcular el dominio entre una función racional (ejemplo: f(x)=(2x-5)/(x^2-5x+6) ) y una función cociente (ejemplo: f(x)=1/(raiz de x) ) ?
Muchas gracias.

¿cual sería entonces la regla o fórmula para calcular el dominio en una función racional y en una función cociente? es decir,¿cuál es la diferencia exacta entre ambos tipos?
la función racional el cociente de dos polinomios... pero: ¿la función cociente? no entiendo muy bien la diferencia
Gracias
Ayuda unicoos ayudenme con este deber
demostrar que todo número coprimo con 2 y 5 tiene un múltiplo que solo tiene 9s en su representación decimal.

Me encantaría ayudarte, pero no respondo dudas universitarias que no tengan que ver específicamente con los videos que ya he grabado como excepcion. O de otras asignaturas que no sean matemáticas, física y química. Lo siento de corazón… Espero lo entiendas
Ojalá algun unicoo universitario se anime a ayudarte (de hecho lo ideal es que todos los universitarios intentarais ayudaros los unos a los otros)