Hola. Me podrían por favor ayudándome resolviendo un problema.
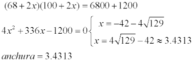
Un jardín rectangular de 100 metros de largo por 68 de ancho está rodeado por un camino de adoquín de anchura uniforme. ¿Cuál es la anchura del camino si se conoce que su área es de 1200 metros cuadrados?
Gracias de antemano..
Que tal unicoos. Buen día
Necesito ayuda con un problema de cónicas...
// Halle la ecuación de la parábola cuyo vértice es (-2,3), cuyo lado recto mide 4 unidades. La respuesta es x2 -4x+4y+16=0
Buen día únicos.. pueden alguien ayudarme, discúlpenme la molestia, pero no se como llegar a la respuesta m+n
¿ES algún tema especifico de la geometría plana? Para estudiarlo
Muchas gracias

Me encantaría ayudarte, pero no respondo dudas universitarias que no tengan que ver específicamente con los videos que ya he grabado como excepcion. O de otras asignaturas que no sean matemáticas, física y química. Lo siento de corazón… Espero lo entiendas
Ojalá algun unicoo universitario se anime a ayudarte (de hecho lo ideal es que todos los universitarios intentarais ayudaros los unos a los otros)
Me podrian ayudar con estas areas:
el literal b) no se si seria de integrar el petalo mas grande de 0 api/2 y el pequeño de 0 api/3 y luego restarlo?
hola disculpen las molestias
alguien me puede decir la clasificación de las funciones matemáticas con concepto
se los agradecería muchísimo
Quizá te ayude esto...procura ser más claro con los enunciados: http://www.vitutor.com/fun/2/c_r.html
Buenas noches Unicoos
tengo una duda con estos ejercicios debo utilizar el método de completar el cuadrado, junto con una sustitución trigonométrica, si es necesaria, para evaluar cada integral
pero mi duda es como resolver estos ejercicios si no tienen raiz cuadrada en el denominador como en el ejemplo #20 ???? me pueden explicar porfavor ? :) mil gracias
.
Hola¡¡¡ cómo encuentro el intervalo de convergencia de:
(4-x^2)y''-2xy'+12y=0, alrededor de x=0

Me encantaría ayudarte, pero no respondo dudas universitarias que no tengan que ver específicamente con los videos que ya he grabado como excepcion. O de otras asignaturas que no sean matemáticas, física y química. Lo siento de corazón… Espero lo entiendas
Ojalá algun unicoo universitario se anime a ayudarte (de hecho lo ideal es que todos los universitarios intentarais ayudaros los unos a los otros)
Esta ecuación cuadrática está bien resuelta? x^4-256=0 x^4=4^4 aplicando raíz cuarta a ambos lados 4√x^4=4√4^4
x=+- 4