Necesito ayuda para calcular el area del lazo interior de --- > r=3+4sen(theta)
la grafica me queda asi.. y la tangente al polo me da 0.68 pero no entiendo de donde hasta donde tengo que integrar

Me encantaría ayudarte, pero no respondo dudas universitarias que no tengan que ver específicamente con los videos que ya he grabado como excepcion. O de otras asignaturas que no sean matemáticas, física y química. Lo siento de corazón… Espero lo entiendas
Ojalá algun unicoo universitario se anime a ayudarte (de hecho lo ideal es que todos los universitarios intentarais ayudaros los unos a los otros)
Demuestra que el volumen del segmento cortado de un paraboloide x2/a2+y2/b2 = z/c por el plano z = h es igual a la mitad de la base del sólido por la altura.

Me encantaría ayudarte, pero no respondo dudas universitarias que no tengan que ver específicamente con los videos que ya he grabado como excepcion. O de otras asignaturas que no sean matemáticas, física y química. Lo siento de corazón… Espero lo entiendas
Ojalá algun unicoo universitario se anime a ayudarte (de hecho lo ideal es que todos los universitarios intentarais ayudaros los unos a los otros)
Obtén el plano que pasa por los puntos P1 (1, 2, 3), P2 (3, 2, 1) y es perpendicular al plano 4x-y+2z=7.
Al ser perpendicular al plano 4x-y+2z=7, el vector normal del mismo (4,-1,2) es paralelo a él.
Con P1 (1, 2, 3), P2 (3, 2, 1) calculamos otro vector paralelo a él (2, 0,-2)
Tenemos un punto (1, 2, 3) y dos vectores (4,-1,2) y (2, 0,-2) del plano pedido.
Sean las ecuaciones paramétricas del mismo:
x=1+4λ+2μ
y=2-λ
z=3+2λ-2μ
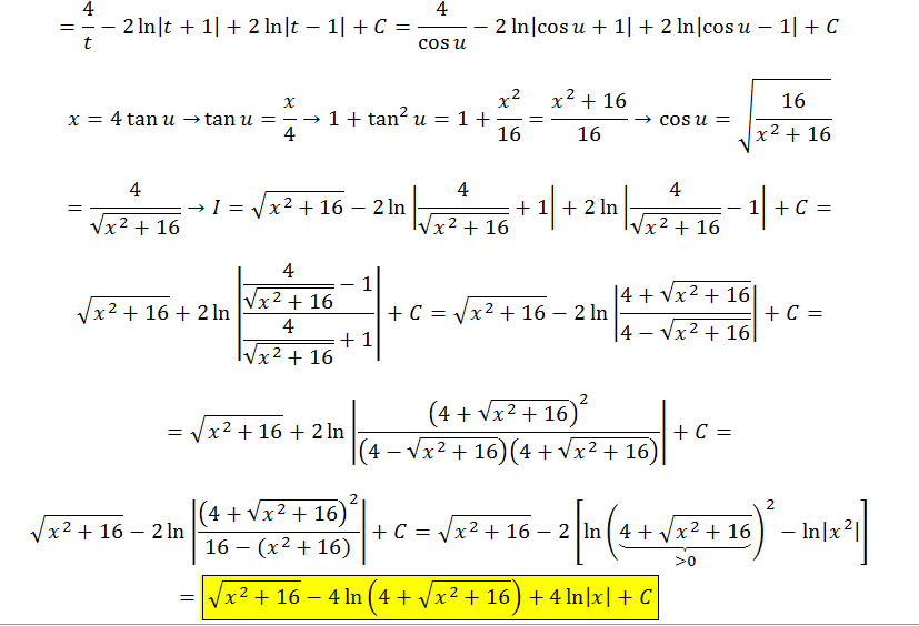
∫√x2 +16\x dx
Me podria ayudar alguien que me estoy volviendo loco para hacer la siguiente identidad de trigonometria
Senα + tgα
------------------------- = senα . tgα
Ctgα + cosecα
senα + tgα
------------------------- =
ctgα + cosecα
senα + senα/cosα
= --------------------------------- =
cosα/senα + 1/senα
senα · cosα + senα
-----------------------------
cos α
= --------------------------------- =
cosα. + 1
------------------
senα
(senα · cosα + senα) senα
= --------------------------------------------- =
cos α(cosα + 1)
senα (cosα + 1) senα
= ------------------------------------- =
cos α (cosα + 1)
senα · senα
= ------------------------ =
cos α
= tgα · senα

Puedes descomponer cada fuerza en sus componentes x y y
sena=F1y/F1--> F1y=F1sena
sen b=F2y / F2-->F2y=F2 sen b
Luego, como esta en equilibrio, tiene que pasar que la suma de las fuerzas en y sea cero,
F1sena+F2senb -25=0--> F1sena + F2senB=25
Nota que F1=F2=75N por hipotesis, entonces
75(sena + senb)=25
sena+senb=25/75=1/3
Como a=b, los senos de esos angulos tambien seran iguales, entonces sena=senb
2sena=1/3
sena=1/6
Luego a=arcsen(1/6)
Saludos
Me podria ayudar alguien con este problema? Las soluciones que obtengo tras varios intentos no son las mismas que las dadas. (No pongo mi procedimiento porque es un amalgama de operaciones y tachones)
-Determinar el valor de las constantes a, b, c sabiendo que f(x) = x(ax2 + bx + c) tiene un punto de inflexión en (-2,12) y que en dicho punto la recta tangente es 10x + y + 8 = 0.
[a=1 b=6 c=2]
Gracias