
Hola Cristina.
Te pide que calcules el centro y el radio de una circunferencia.
Por lo tanto sustituimos la "x" de la recta que contiene el centro en sus coordenadas. (explicación en rojo en el folio)
A continuación, como cualquier distancia desde el centro a cualquier punto de la circunferencia es el radio y mide lo mismo a cualquier otro punto (rayas amarillas del dibujito) pues calculamos la distancia del centro al punto A y la otra distancia del centro al punto B. La distancia de un punto a otro es el módulo de ambos puntos. Como ambas son el radio y miden lo mismo pues planteamos que ( dist (C,A) = dist (C,B) )
Elevamos ambas igualdades al cuadrado para quitar las raíces y juntamos los términos. Obtenemos la "y" y para obtener la "x" sustituimos en las coordenadas del centro (explicado en rojo). Por lo tanto con la x y la y ya obtenemos las coordenadas del centro: C (9,-3)
Y por último para calcular el radio nos sirve con elegir el cálculo de la distancia desde el centro a uno de los puntos A ó B, en este caso elegiremos por ejemplo la dist (C,A). Resolvemos sustituyendo la coordenada "y" del centro y ya obtenemos el radio.
Espero que te haya ayudado. Cualquier duda pregúntala.
Una de las propiedades de los determinantes dice:
Si todas las líneas de una matriz de orden n están multiplicadas por un mismo número t el
determinante de la matriz queda multiplicado por tn
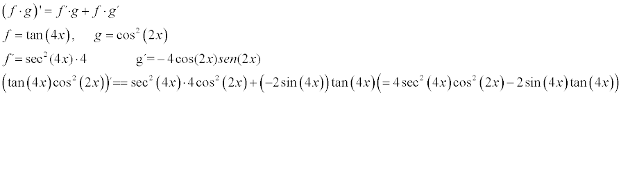
Hola a todos,
estoy volviendo loco con la derivada de esta funcion:
y=tg(4x)cos^2(2x)
Estoy haciendo de todo para no utilizar las tablas de derivadas y utilizar el correspondiente de tg(x)=sin(x)/cos(x) para no estudiar de memoria, pero con esta derivada me estoy comiendo el coco.
Gracias!
Hola tengo dudas con este ejercicio de sucesiones.
Sea x1= 6 para cada n perteneciente a los números naturales defina xn+1= (2xn-6)/3
Calcular los 10 primeros términos de la sucesión
¿Qué hago solo reemplazo, me confunde el xn+1?
se lanzan 3 dados y se multiplican los numeros resultantes cual es la probabilidad de que el producto sea 12