Foro de preguntas y respuestas de Matemáticas

logo beUnicoos
Los foros de unicoos se han unificado en nuestra nueva plataforma beUnicoos. Para dejar nuevas preguntas deberás hacerlo allí, donde además podrás encontrar nuevas asignaturas y herramientas para ayudarte más con tus estudios.

  • icon

    Sebástian
    el 25/3/17

    Buen día, agradeceria si hubiese alguien que me apoye demostrando la igualdad.


    replythumb_up0 voto/sflag
    icon

    Antonius Benedictus
    el 25/3/17


    thumb_up0 voto/sflag
  • icon

    Sandy Murillo S...
    el 25/3/17

    Hola unicoos. 

    Prodrian por favor colaborarme con el siguiente problema, ruego ayuda por fa.

    Mil gracias a la persona q me colabore...


    ■ Control de tráfico aéreo. Un controlador observa dos aviones que vuelan en trayectoria perpendicular y en la misma altura uno de ellos dista 150 millas y se mueve a 450 millas/h . El otro está a 200 millas y se desplaza a 600 millas/h.

    a.) ¿A qué ritmo decrece la distancia entre ellos?

    b,) ¿ De cuanto tiempo dispone el controlador para modificar la tratectoria de uno de ellos?


    replythumb_up0 voto/sflag
    icon

    César
    el 25/3/17


    thumb_up0 voto/sflag
  • icon

    Deidara Stick.
    el 25/3/17

    Hola amigos de unicoos, alguien me podría ayudar con el suignete problemita. Gracias de antemano


    replythumb_up0 voto/sflag
    icon

    César
    el 25/3/17


    thumb_up0 voto/sflag
  • icon

    Lola
    el 25/3/17
    flag

    Como se resuelve esto paso a paso? ES DE FISICA PERO EN EL FORO DE FISICA NO RESPONDE NADIE En un campo rectangular de 300m x 400m parte una cosechadora en dirección de su diagonal con MRU cuya velocidad es de 9km/h,en el otro extremo de la diagonal parte a su encuentro otra cosechadora con MRU con una velocidad de 6 km/h,1/2 minuto mas tarde.En que instante y a que distancia de la salida de la primera cosechadora se encuentran separadas las cosechadoras en 20m.

    replythumb_up0 voto/sflag
    icon

    Antonio
    el 25/3/17

    En primer lugar ponemos todas las magnitudes en las mismas unidades

    300m x 400m

    9km/h = 9000/3600 m/s =2.5 m/s
    6 km/h= 6000/3600 m/s =5/3 m/s

    1/2 minuto=30 segundos

    20m

    En segundo lugar calculamos la distancia del recorrido, es decir, la diagonal del campo.

    √(3002+4002)=500 metros

    Sea t el tiempo pedido en segundos

    La primera cosechadora recorre 2.5t metros

    La segunda cosechadora recorre 5/3(t-30) metros

    Por lo tanto tenemos:

    2.5t + 5/3(t-30)=500-20

    Resolviendo:

    7.5t+5t-150=1440

    12.5t=1590

    t=127.2 segundos = 2 minutos y 7 segundos

    2.5 · 127.2= 318 metros

    thumb_up0 voto/sflag
  • icon

    Lola
    el 25/3/17
    flag

    Como se resuelve esto paso a paso? ES DE FISICA PERO EN EL FORO DE FISICA NO RESPONDE NADIE 

    Un tren pasa por la estación A a una velocidad de 72km/hs,3 seg mas tarde parte otro tren con MRUV de la misma estación A y con la misma dirección con una aceleración cte de 0,5 m/s∧2.Calcular en que momentos se encuentran y a que distancias de la estacion A.

    replythumb_up0 voto/sflag
    icon

    César
    el 25/3/17


    thumb_up0 voto/sflag
  • icon

    JUAN AMPIE
    el 25/3/17

    Hola estaba viendo el tema de fracciones parciales


    X^2+10X-36 / X(X-3)


    Yo puse esto :

    X^2+10X-36 / X(X-3)^2 = A/X + B/X-3 + C/(X-3)^2

    Por favor si me pudieran ayudar se los agradeceria mucho


    replythumb_up0 voto/sflag
    icon

    Axel Morales Piñón.
    el 25/3/17

    Enunciado original JUAN

    ¿Es X2+10X-36 / X(X-3) ó  X2+10X-36 / X(X-3)2?

    thumb_up1 voto/sflag
    icon

    JUAN AMPIE
    el 25/3/17


    Lo trate de resolver ¿Esta bien el procedimiento?

    thumb_up0 voto/sflag
    icon

    Ángel
    el 25/3/17

    Yo lo veo perfecto, Juan

    thumb_up1 voto/sflag
    icon

    JUAN AMPIE
    el 25/3/17

    Gracias


    thumb_up0 voto/sflag
  • icon

    Lola
    el 25/3/17

    Hola,como se resuelve esto paso a paso? Un ciclista recorre un trayecto en dos etapas, en la primer etapa,parte de reposo con una aceleración constante de 0,3m/s, en la segunda etapa,mantiene la velocidad alcanzada en la primer etapa durante 25 seg.Si la distancia toal recorrida es de 146,25 m,calcular el tiempo toal de marcha.

    replythumb_up0 voto/sflag
    icon

    Javier Marquez
    el 25/3/17

    Primero debemos recordar algunas ecuaciones importantes de cinemática:

    X(t)= Xi + Vi*t + (1/2)*a*t^2 /Donde X(t) es la posición en función del tiempo, Xi es la posición inicial, Vi es la velocidad inicial, t es el tiempo y a es la aceleración.

    Vf = Vi + a*t /Donde Vf es la velocidad final 

    En la primera etapa tenemos que

    X(t)=0 + 0*t +(1/2)*0,3*t^2 

     X(t)= (3/20)*t^2

    Vf1= 0 + 0,3*t

    Vf1=0,3*t

    #Es importante darse cuenta que la Vf de la primera etapa sera la Vi de la segunda, que la Xi sera la Xf de la primera y que la a = 0

    Vf2=Vf1 + a*t/

    Vf2= 0,3*t 

    Y su posición esta dada por:

    X(t=25) =(3/20)*t^2 + (0,3*t)25 + (1/2)*0*t^2

    X(t=25) = 3/20 * t^2 + 15/2 *t

    Luego planteamos la siguiente ecuación,

    3/20 * t^2 + 15/2 *t = 146,25

    de donde t1 = -65 ( esta solución se descarta ya que el tiempo queda negativo) y t2= 15

    luego el tiempo total de marcha = 15 + 25 = 40



    thumb_up0 voto/sflag
  • icon

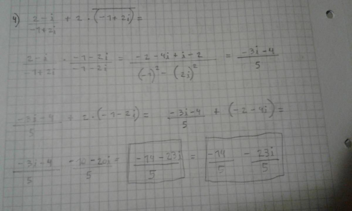
    Ignacio Jaluf
    el 25/3/17

    Hola como están? El lunes arranque a cursar Álgebra en la universidad y me han dejado este problema, quería saber si lo resolví bien, el tema es Números Complejos.

    replythumb_up0 voto/sflag
    icon

    Antonius Benedictus
    el 25/3/17

    Coincidimos: 


    thumb_up1 voto/sflag
  • Usuario eliminado
    el 24/3/17

    Discute, aplicando el método de Gauss, los sistema siguiente

    kx + y + z =k

    x +ky + z= k

    x+ y +kz =k


    x +y + z = k+2

    x -ky + z = 1

    kx +y +z = 4


    Se debe decir por cual valor es sistema compatible determinante, sistema compatible indeterminante y sistema incompatible

    replythumb_up0 voto/sflag
    icon

    Antonius Benedictus
    el 24/3/17


    thumb_up2 voto/sflag
    icon

    Antonius Benedictus
    el 25/3/17


    thumb_up2 voto/sflag
  • icon

    lbp_14
    el 24/3/17

    Hola Unicoos.

    Si tengo algún error me lo podrían decir y corregir paso a paso? 

    Y cuánto debo tardar en hacer estos ejercicios aprox? Es para cronometrarme porque en los exámenes no me da tiempo a veces .

    Muchísimas gracias. 


    replythumb_up0 voto/sflag
    icon

    David
    el 7/4/17

    Lo que hiciste es genial. ¿El tiempo? Aproximadamente 15 minutos
    Besos!

    thumb_up1 voto/sflag