Foro de preguntas y respuestas de Matemáticas

logo beUnicoos
Los foros de unicoos se han unificado en nuestra nueva plataforma beUnicoos. Para dejar nuevas preguntas deberás hacerlo allí, donde además podrás encontrar nuevas asignaturas y herramientas para ayudarte más con tus estudios.

  • icon

    Raisa
    el 24/3/17

    3º  Calcular los límites

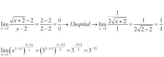
      a) lim √x+2-2/x-2               b) lim x elevado a la 3-4x elevado a la 2+3x/ x elevado a la 3-9x

                       x→2                                   x→3


    c) lim (√x+2-√x-2)

     x→x

    replythumb_up0 voto/sflag
    icon

    César
    el 24/3/17


    thumb_up0 voto/sflag
  • icon

    Matemáticas
    el 24/3/17

    Ejercicio 2.



    replythumb_up0 voto/sflag
    icon

    Guillem De La Calle Vicente
    el 24/3/17

    Las relaciones son:

    • A \subseteq A,
    • B \subseteq A,
    • B \subseteq B,
    • B \subseteq C,
    • B \subseteq E,
    • B \subseteq F,
    • C \subseteq A,
    • C \subseteq B,
    • C \subseteq C,
    • C \subseteq E,
    • C \subseteq F,
    • D \subseteq D,
    • E \subseteq E,
    • E \subseteq F,
    • F \subseteq F.


    thumb_up0 voto/sflag
  • icon

    Andrea
    el 24/3/17

    Ayuda con este ejercicio por favor. Gracias de antemano.



    replythumb_up0 voto/sflag
    icon

    Andrea
    el 24/3/17

    Muchas gracias, César. En el último, ¿cómo sabes qué es -1? ¿No hace falta desarrollar (x+1)5

    thumb_up0 voto/sflag
  • icon

    Nerea
    el 24/3/17

    No puedo resolver la B, y la solución tiene que darme una regla fundamental. :( ¿Alguien puede resolverla?

    replythumb_up0 voto/sflag
    icon

    César
    el 24/3/17


    thumb_up0 voto/sflag
  • icon

    Patri Lopez
    el 24/3/17

    Hola alguien me puede decir como se hacen este tipo de derivadas (48, 51, 52), esque aplico la fórmula tal cual y no me sale ningun resultado igual 😅😥un saludo y muchas gracias 🤗

    replythumb_up0 voto/sflag
    icon

    Antonius Benedictus
    el 24/3/17


    thumb_up1 voto/sflag
    icon

    Antonius Benedictus
    el 24/3/17


    thumb_up1 voto/sflag
  • icon

    DAVID CALO BARRERA
    el 24/3/17

    Hola, podéis mostrarme la resolución de este ejercicio? Lo agradecería mucho,. Tengo varios a resolver igual y me gustaría ver uno bien hecho para asegurarme de que aplico el buen método.

    replythumb_up0 voto/sflag
    icon

    Antonius Benedictus
    el 24/3/17

    Te mando uno similar, David:


    thumb_up1 voto/sflag
  • icon

    Raúl
    el 24/3/17
    flag

    Hola, muy buenos días. Alguien me podría ayudar con esta serie numérica; 1, 1, 1 , n , 24 , 6192. alguien me podría dar el valor de N

    replythumb_up0 voto/sflag
    icon

    Antonius Benedictus
    el 24/3/17

    ¿Puedes poner foto del enunciado original, por seguridad?

    thumb_up1 voto/sflag
    icon

    Raúl
    el 24/3/17

    claro, disculpe. también cree que pueda resolverme este porfavor;  21, 28, 31, 32, 33, X.



    thumb_up0 voto/sflag
    icon

    Ángel
    el 25/3/17

    1*1; 1*1; 1*1; 1*1; n=1*2; 2*12, 24*288    -------------->         1; 1; 1; 1; 2; 24; 6912

    thumb_up1 voto/sflag
  • icon

    MARTA BASADRE
    el 24/3/17

    Os pongo un ejercicio que me ha salido en mis estudios:

    La magnitud de un terremoto en la escala Richter viene dada por la función R(E)=23log⁡(EE0), donde E es la energía liberada en un terremoto y E0=104.4 joules. Encontrar la energía liberada en un terremoto de intensidad 3.0 en la escala Richter.

    He planteado log 3=log(E2/3)-log(104.4)(2/3) Mi solución era 100.19, pero no es correcto. ¿Dónde he cometido el error?

    Gracias por adelantado.

    El 23 es 2/3 y E0 es 104.4. Sale mal el enunciado.



    replythumb_up0 voto/sflag
    icon

    Antonius Benedictus
    el 24/3/17

    Pon foto del enunciado original, Marta y nos lo pondrás más fácil.

    thumb_up1 voto/sflag
    icon

    MARTA BASADRE
    el 24/3/17

    Perdona la tardanza Antonio. 

    thumb_up0 voto/sflag
    icon

    Antonius Benedictus
    el 24/3/17


    thumb_up1 voto/sflag
    icon

    MARTA BASADRE
    el 24/3/17

    Gracias Antonio, es más fácil de lo que pensaba. Siempre me empeño en liarlo más.

    thumb_up0 voto/sflag
    icon

    MARTA BASADRE
    el 25/3/17

    Hola Antonio, me acabo de dar cuenta que la solución es 1011.9 y no 1012.9. La suma de 7.5 + 4.4 es 11.9.

    Saludos.


    thumb_up0 voto/sflag
  • icon

    Vicente
    el 24/3/17

    Tengo bien este ejercicio?


    replythumb_up0 voto/sflag
    icon

    David
    el 17/4/17

    Sí, parece que sí... Aunque tengo la sospecha de que tu profesor te exigirá hacerlo paso a paso y sin calculadora...

    thumb_up0 voto/sflag
  • icon

    maria
    el 24/3/17

    Hola buenas tardes:

    No hay tutoriales de Primaria?. (6º)


    replythumb_up0 voto/sflag
    icon

    Antonius Benedictus
    el 24/3/17

    Parece que todavía no, María.

    thumb_up0 voto/sflag
    icon

    Guim
    el 25/3/17

    No, pero puedes preguntar en el foro


    thumb_up0 voto/sflag