Foro de preguntas y respuestas de Matemáticas

logo beUnicoos
Los foros de unicoos se han unificado en nuestra nueva plataforma beUnicoos. Para dejar nuevas preguntas deberás hacerlo allí, donde además podrás encontrar nuevas asignaturas y herramientas para ayudarte más con tus estudios.

  • icon

    Sonia Ramis García
    el 24/3/17

    Hola. Me podeis ayudar con este ejercicio?

    replythumb_up0 voto/sflag
    icon

    Antonius Benedictus
    el 24/3/17


    thumb_up0 voto/sflag
    icon

    Alvaro Lavandera Sastre
    el 24/3/17

    Aquí te lo dejo haciendo la inversa por Gauss


    thumb_up0 voto/sflag
  • icon

    Raisa
    el 24/3/17

    Hola me podríais ayudar?


    1º Sea la función:  f(x)=  x2 si x< 0

                            x   si 0≤ x ≤1

                                  2   si x > 1


    Dibujar su gráfica y calcular los límites laterales en x = 0 y en x =1


    2º Dada la función:  

                        f(x)= -1/x    si x <-1
                         1 si      -1 ≤ x ≤ 1                     -x+1    si x  > 1

    Estudiar si la función es o no continua en los puntos x = -1  y x =1 y dibujar su gráfica


    replythumb_up1 voto/sflag
    icon

    Alvaro Lavandera Sastre
    el 24/3/17


    thumb_up0 voto/sflag
  • icon

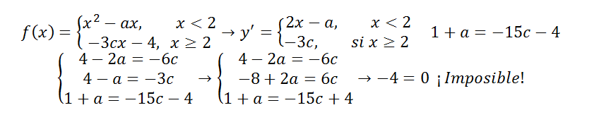
    Jose Manuel
    el 24/3/17

    ayuda por favor

    replythumb_up0 voto/sflag
    icon

    Antonius Benedictus
    el 24/3/17

    En θ=π/4   y   θ=-π/4   hay asíntotas oblicuas.

    thumb_up1 voto/sflag
  • icon

    Manu
    el 24/3/17

    Buenos días.

    Me pide que redacte la solución de este integral derivada, Si me dan la integral yo la derivo pero, redactarla?

    un saludo.


    replythumb_up0 voto/sflag
    icon

    Antonius Benedictus
    el 24/3/17

    Esta es la propiedad de "llinealidad" de la derivada:

    La derivada de una suma es la suma de las derivadas.

    Y la derivada de una constante por una función es la constante por la derivada de la función.

    thumb_up1 voto/sflag
  • Usuario eliminado
    el 24/3/17

    Resuelto en clase. La solución es si t≠1,3 es aplicable el Teorema de Rolle; para t=0 se obtiene f(x)=0: solución trivial.

    f(x) no varía si t≠0,1,3; según la profe la variación de t deja fija f(x), salvo para t=0,1,3.

    a=-5/[2(t-1)];     b=0;     c=3/[2(t-3)];     f'(x)=0 ⇔ x=5/4
    Estos desconcertado porque no veo error en la solución de ayer del profe Antonio...

    replythumb_up0 voto/sflag
    icon

    Antonius Benedictus
    el 24/3/17

    Mándame la resolución COMPLETA de clase.

    thumb_up0 voto/sflag
    icon

    Antonius Benedictus
    el 24/3/17

    Para t=0 sale:


    thumb_up0 voto/sflag

    Usuario eliminado
    el 24/3/17

    Si t=0; a=5/2; b=libre; c=-1/2 se cumplen las hipótesis y f'(k)=0 <-> k=5/4. La profe se ha dado un pequeño guarrazo

    thumb_up0 voto/sflag
  • icon

    Rafa Jurado
    el 24/3/17

    Hola, mi duda es acerca del ejercicio 2. Tengo que demostrar la igualdad con la condición de que v pertenece al subespacio generado. Llevo bastantes intentos pero no llego a nada lógico. 



    replythumb_up1 voto/sflag
    icon

    Antonius Benedictus
    el 24/3/17


    thumb_up1 voto/sflag
  • icon

    Esteban Fernandez
    el 24/3/17

    Hola unicoos, me plantearon el siguiente ejercicio y no he podido resolverlo, me podrían ayudar por favor!! Gracias.


    Sea L1 la recta que pasa por A(1,2,7) y B(-2,3,-4) y L2 la recta que pasa por C(2,-1,4) y D(5,7,-3).

    1. Demostrar que L1 y L2 son albeadas.

    2. Calcular la distancia entre L1 y L2

    replythumb_up1 voto/sflag
    icon

    Antonius Benedictus
    el 24/3/17


    thumb_up0 voto/sflag
  • icon

    ros
    el 24/3/17

    me ayudan con este por favor

    graciass

    replythumb_up1 voto/sflag
    icon

    Antonius Benedictus
    el 24/3/17


    thumb_up1 voto/sflag
  • icon

    Guadalupe Martinez
    el 24/3/17

    hola como les va? me ayudan a hacer el ejercicio f y h solo las cuentas por favor lo demas yo me arreglo ejej gracias eas acotamiento 


    replythumb_up1 voto/sflag
    icon

    ros
    el 24/3/17

    hola amiga el f tenes que ver el entero que cumpla x^2-4=0 y solucionas la x vale -2 y 2

    el h igual pero reales y la x vale menor que -2, asi que x vale (-infinito,-2) acotada superior


    thumb_up0 voto/sflag
    icon

    Ángel
    el 24/3/17

    El F está acotado, con una minorante (el -2) y una mayorante (el -2);   el H tiene cota superior en -2 y no tiene cota inferior

    thumb_up0 voto/sflag
    icon

    Guadalupe Martinez
    el 24/3/17

    Gracias maths pero n lo entiendo pq ademas de el acotamiento debo hacer el maximo minimo extremo superior e inferior y ahi me tráquea pq n me sale graci

    thumb_up0 voto/sflag
  • icon

    :)
    el 24/3/17

    hallar acotamiento!   les agradesco su ayuda en si acotamiento lo se pero no se hacer dicha cuenta q aparece ahi les agradesco si me explican no es necesario hacerlo un modo de ejemplo me alcanza de verdad gracias espero averme explicado xq es lo unico q puso el profe gracia

    replythumb_up0 voto/sflag
    icon

    Jonathan Sánchez Millones
    el 24/3/17

    es una desigualdad racional, lo que indica es que existe un numero que pertenece a los reales tal que si a este numero lo elevamos al cuadrado, le restamos 4 y lo dividimos por el mismo numero + 3 nos debe dar un numero que sea menor o como maximo igual a cero(***), si te das cuenta al reemplazar algunos valores como: 1,1/2, etc en x, resulta un numero menor que cero y seria igual a cero para x=+2 y -2., entonces te das cuenta que son varios los valores que cumplen dicha condicion (****) a este conjunto de valores lo llamamos intervalo.

    thumb_up0 voto/sflag
    icon

    Ángel
    el 24/3/17



    thumb_up2 voto/sflag
    icon

    Francisca Ocaranza
    el 24/3/17

    Entonces como quedaria el acotamiento? sin cota inferior y cota superior 2?

    thumb_up0 voto/sflag
    icon

    Ángel
    el 24/3/17

    thumb_up1 voto/sflag
    icon

    :)
    el 24/3/17

    hola maths gracias x ayudarme pero si tiene que ser menor o igual a cero que se utiliza el -3 solamente?

    thumb_up0 voto/sflag
    icon

    Ángel
    el 24/3/17

    Se toman los valores en los que x es menor o igual a cero (como te dice la desigualdad de este ejercicio), están marcados en el recuadro en rojo y observa que rodeado en azul están los ceros y los signos negativos, que son, como ya te he dicho los que satisfacen la desigualdad original


    Entonces estos son los valores:  x< -3       x=-2       -2< x < 2      x=2

    Juntando los valores obtienes los intervalos de posibles valores de x:           (-inf,-3) U [-2, 2]

    thumb_up0 voto/sflag