Foro de preguntas y respuestas de Matemáticas

logo beUnicoos
Los foros de unicoos se han unificado en nuestra nueva plataforma beUnicoos. Para dejar nuevas preguntas deberás hacerlo allí, donde además podrás encontrar nuevas asignaturas y herramientas para ayudarte más con tus estudios.

  • icon

    MARTA BASADRE
    el 15/3/17

    Buenas tardes, mi nombre es Marta y mi cuestión es la siguiente: Una función cuadrática tiene un cero en x=-3 y el eje de simetría en x=1 ¿Cuál es su otro cero? Mi pregunta es si tengo que plantear un sistema de ecuaciones con dos incógnitas con la fórmula del eje de simetría y de la ecuación de segundo grado.

    Otra cuestión parecida es: Dada la función ax^2+bx-1 tiene un único cero en x=1/2 ¿Cuáles son los valores de a y b? ¿También lo debo plantear como dos ecuaciones con dos incógnitas?

    Gracias.


    replythumb_up0 voto/sflag
    icon

    César
    el 15/3/17


    thumb_up2 voto/sflag
    icon

    MARTA BASADRE
    el 15/3/17

    Gracias por tus respuestas. La primera la veo clara, la segunda no sé por qué supones que si solo tiene un cero, (x-1/2)^2=0 Estás aplicando alguna fórmula?

    Gracias de nuevo.


    thumb_up0 voto/sflag
    icon

    Antonio
    el 15/3/17

    Afirmar que solo tiene un cero, es decir que los dos ceros son iguales, es decir, la ecuación es: (x-1/2)·(x-1/2)=0

    thumb_up1 voto/sflag
    icon

    MARTA BASADRE
    el 15/3/17

    Claro!!! Era más fácil de lo que parecía. Gracias Antonio. :)

    thumb_up0 voto/sflag
  • icon

    Tinajero
    el 15/3/17

    Buenas, me podéis ayudar con este problema, por favor. Gracias.

    replythumb_up0 voto/sflag
    icon

    Guillem De La Calle Vicente
    el 15/3/17


    thumb_up1 voto/sflag
    icon

    César
    el 15/3/17


    thumb_up0 voto/sflag
  • icon

    Sumi
    el 15/3/17

    Buenas tardes, me podria ayudar alguien con este ejercicio????  muchas gracias!  😊

    replythumb_up0 voto/sflag
    icon

    Guillem De La Calle Vicente
    el 15/3/17


    thumb_up1 voto/sflag
    icon

    Sumi
    el 17/3/17

    Muchísimas gracias!!😊

    thumb_up0 voto/sflag
  • icon

    Juan
    el 15/3/17

    Hola, me gustaría que alguien me confirmara si la mediana es 9,3. Gracias


    replythumb_up0 voto/sflag
    icon

    Antonius Benedictus
    el 15/3/17

    Clavado, Juan:


    thumb_up1 voto/sflag
  • icon

    RAÚL
    el 15/3/17

    ¿Hola, unicoos. Puedes hacer un video de como se hace la tabla gráfica de -3X+ Y = -14      7X + Y = 16?

    replythumb_up1 voto/sflag
    icon

    César
    el 15/3/17

    Si tienes dos rectas diferentes  -3X+ Y = -14   y   7X + Y = 16

    Debes hacerlas por separado y representar ambas rectas, alla donde se corten , sera la solución del sistema

    thumb_up0 voto/sflag
  • icon

    Marcos
    el 15/3/17
    flag

    Por favor alguna explicación sobre los conectores lógicos



    replythumb_up0 voto/sflag
  • icon

    Alba
    el 15/3/17

    Hola unicoos... Se que me confundí pero no capto en que, gracias!


    replythumb_up0 voto/sflag
    icon

    David
    el 17/4/17

    El valor de "n" no es 30, precisamente "n" es tu incognita......

    thumb_up0 voto/sflag
  • icon

    Angel Couce Mendez
    el 15/3/17

    (En una clase deciden que este verano van a escribir todos una carta al resto. Uno de la clase dice "Los de correos se van a poner contentos porque vamos con 600 cartas". Calcula el número de alumnos.)

    ¿Alguien me podría decir como se hace este problema?

    replythumb_up1 voto/sflag
    icon

    Guillem De La Calle Vicente
    el 15/3/17

    Se plantea el problema. Si “x” es el numero de alumnos cada uno de ello escribe (x - 1) cartas por lo que el total de las cartas será la suma de x veces (x - 1).

    x(x - 1) = 600

    Operando: x2 - x - 600 = 0

    Las soluciones son x = - 24 y x = 25, la solución válida es 25 alumnos.


    thumb_up1 voto/sflag
  • icon

    PILAR RUIZ MINAYA
    el 15/3/17

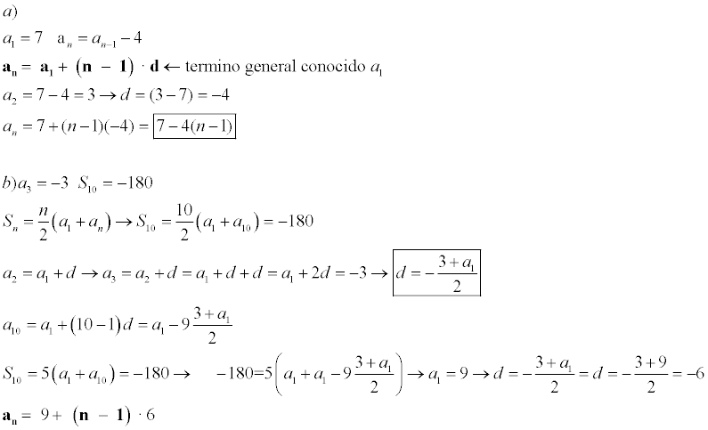
    hola, si me piden sacar rl termino gereral de la sucesion geometrica a1O =1000 y s10 = -180

    gracias d antemano

    replythumb_up0 voto/sflag
    icon

    Antonius Benedictus
    el 15/3/17

    ¿Puedes subir foto del enunciado origina, Pilar?

    thumb_up1 voto/sflag
    icon

    PILAR RUIZ MINAYA
    el 15/3/17

    Es el 60

    thumb_up0 voto/sflag
    icon

    PILAR RUIZ MINAYA
    el 15/3/17

    Ups lo he puesto al reves

    thumb_up0 voto/sflag
    icon

    Antonius Benedictus
    el 15/3/17


    thumb_up0 voto/sflag
    icon

    César
    el 15/3/17

    te queda el último para ti 

    thumb_up1 voto/sflag
  • icon

    Alex
    el 15/3/17


    replythumb_up0 voto/sflag
    icon

    Antonius Benedictus
    el 15/3/17


    thumb_up0 voto/sflag