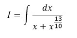
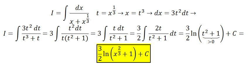
Profr. Antonio ¿Cómo se resolverá esta integral? I =∫ dx/((x)+(x)^(1.3))
Antonio Benito, si no es mucho pedir,¿podría enviarme su formulario de geometría analítica plana? Muchas gracias de antemano. Un cordial saludo.
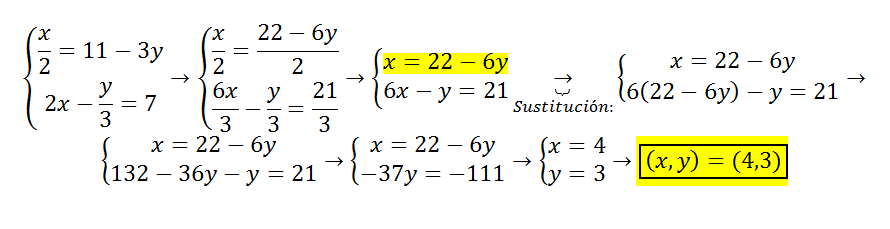
Hola, alguien me podría enseñar como se hace un sistema de ecuación lineal con fracciones, da igual de que forma
Hola alguien me podria decir al menos como plantear este problema de probabilidad? Esque de este tipo no se muy bien como abordarlo:
En un bombo de lotería tenemos 10 bolas numeradas del 0 al 9. Cada vez que se extrae una, se devuelve al bombo. si sacamos 5 bolas, cacula la probabilidad de:
- El 0 salga solo una vez
- Se hayan obtenido más de dos unos
- No se obtengan números mayores que 7
Gracias!
Hola buenas! Una pregunta, cuando en la binomial tienes que hacer lo de factorial, por ejemplo 5!/3! cuando lo desarrollo seria 5X4X3X2 partido de 3X2X1(5-3), pero lo que no me queda claro es en el denominador al tener el dos de la resta de 5-3, tengo que poner justo antes de esta 3x2x1 o seria solo el 3 ya que despues tengo otro dos? no se si me he explicado bien pero gracias!!!!
Hola me gustaria me pudieran corregir, me dieron este trabajo de buscar el valor de derivadas a partir de dos graficas, bueno yo pienso solcionarlo de esta manera, buscar un punto en la recta y tomar ese valor como respuesta, no se si sea asi como se deba solucionar por eso les pido su correccion o su aceptación a esta manera.
Y otra cosa, esas derivadas de h como las contestaria, abajo como pueden ver en la imagen me dan dos funciones pero no se como aplicarlas.
De antemano gracias.
