Foro de preguntas y respuestas de Matemáticas

logo beUnicoos
Los foros de unicoos se han unificado en nuestra nueva plataforma beUnicoos. Para dejar nuevas preguntas deberás hacerlo allí, donde además podrás encontrar nuevas asignaturas y herramientas para ayudarte más con tus estudios.

  • icon

    Nicolas
    el 16/3/17

    Hola! Como se realiza este ejercicio?


     

    replythumb_up0 voto/sflag
    icon

    Antonius Benedictus
    el 16/3/17


    thumb_up1 voto/sflag
    icon

    Guillem De La Calle Vicente
    el 16/3/17


    thumb_up1 voto/sflag
  • icon

    Byron Jimenez
    el 16/3/17
    flag

    Hola , por favor ¡Necesito una ayuda¡ con este ejercicio

    replythumb_up0 voto/sflag
    icon

    Antonio
    el 16/3/17

    i) V

    ii) V

    iii) V

    iv) F -> 5

    v) V

    thumb_up1 voto/sflag
    icon

    Byron Jimenez
    el 16/3/17

    Hola ,gracias y  disculpa Antonio me podria ayudar con el diagrama de venn ?

    thumb_up0 voto/sflag
    icon

    Antonio
    el 16/3/17


    thumb_up1 voto/sflag
  • icon

    Jordi Ramos
    el 16/3/17

    Hola de nuevo amigos de unicoos necesito hacer esta demostracion pero no entiendo como plantearla...me ayudaria amigos con alguna pista para demostrar esto.

    replythumb_up0 voto/sflag
    icon

    Antonius Benedictus
    el 16/3/17


    thumb_up0 voto/sflag
  • icon

    Sergio
    el 16/3/17

    Hola,

    Me podeis ayudar con este ejercicio?

    Muchas gracias.

    replythumb_up0 voto/sflag
    icon

    Guillem De La Calle Vicente
    el 16/3/17


    thumb_up0 voto/sflag
    icon

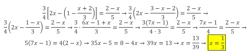
    Tora Kevin Yack Quispe Tapia
    el 16/3/17

    x=1/3

    resuelvelo llevando a las expresiones enteras a fracciones homogeneas

    thumb_up0 voto/sflag
    icon

    Antonius Benedictus
    el 16/3/17


    thumb_up0 voto/sflag
    icon

    Sergio
    el 17/3/17

    Muchas gracias.

    Un saludo

    thumb_up0 voto/sflag
    icon

    Sergio
    el 17/3/17

    Muchas gracias

    Un saludo

    thumb_up0 voto/sflag
  • Usuario eliminado
    el 16/3/17


    replythumb_up0 voto/sflag
    icon

    Antonius Benedictus
    el 16/3/17


    thumb_up0 voto/sflag
  • Usuario eliminado
    el 16/3/17


    replythumb_up0 voto/sflag
    icon

    Antonius Benedictus
    el 16/3/17

    ¿Qué se le ofrece, Omy?

    thumb_up0 voto/sflag
  • icon

    Juan
    el 16/3/17

    Necesito una ayuda para encontrar la covarianza de esta tabla:

    ¿Como hago para calcular ∑xiyinij ?  No sé como proceder ya que tengo dos frecuencias n diferentes... 


    replythumb_up0 voto/sflag
    icon

    Antonius Benedictus
    el 16/3/17

    Por ejemplo:

    Para x_i=3, y_j=75 entonces n_ij=4


    Tienes  que sumar 20 términos.

    thumb_up2 voto/sflag
  • icon

    Maria Jesus Rodriguez
    el 16/3/17

    hola,tengo que resolver este problema y no me sale. lo expongo:

    En una fracción el denominador tiene 3 unidades más que el numerador. Si se suman 2 unidades al numerador, el valor de la fracción será igual a 3/2.¿Cuál es la fracción?


    replythumb_up0 voto/sflag
    icon

    Ángel
    el 16/3/17

    En una fracción el denominador tiene 3 unidades más que el numerador: x/(x+3)


    Si a la fracción se le suman 2 unidades al numerador, el valor de la fracción será igual a 3/2:         (x+2)/(x+3)=3/2


    2(x+2)= 3(x+3)

    2x+4=3x+9

    x=-5


    sustituimos x=-5 en la fracción original x/(x+3) y obtenemos:          -5/(-5+3)=  -5/-2 

    thumb_up3 voto/sflag
    icon

    Guillem De La Calle Vicente
    el 16/3/17

    Maths, yo lo había echo igual pero: precisamente esa es una de las "soluciones" que encontré el problema es que -5/-2 es = 5/2 (por ley de signos) si le sumo 2 al numerador me queda (5 + 2)/2 y eso NO es 3/2.


    thumb_up2 voto/sflag
    icon

    Maria Jesus Rodriguez
    el 16/3/17

    MUCHAS GRACIAS A LOS DOS.

    thumb_up1 voto/sflag
    icon

    Ángel
    el 16/3/17

    (-5+2)/-2= -3/-2= 3/2

    thumb_up2 voto/sflag
    icon

    Guillem De La Calle Vicente
    el 16/3/17

    Maths, así se cumple pero se aplicas ley de signos, no se cumple.


    thumb_up1 voto/sflag
    icon

    Ángel
    el 16/3/17

    ¿Dónde dice el enunciado que apliques la ley de signos? :D

    thumb_up2 voto/sflag
    icon

    Guillem De La Calle Vicente
    el 16/3/17

    En todos las fraciones del tipo -a/-b, aplicamos la ley de signos y nos queda a/b. Por tanto -5/-2 es el mismo valor que 5/2 haciendolo con una calculadora o aplicando la regla de signos.

    thumb_up1 voto/sflag
    icon

    Ángel
    el 16/3/17

    Un consejo Guillem, es de sabios rectificar jaja 

    En matemáticas no es conveniente inventar/crear enunciados a la conveniencia de uno....en el caso del ejercicio que ha preguntado María Jesús el proceso correcto y la solución es la que dí en primera instancia, así que dejemos de confundir a la gente pues vienen a aprender y no a leer mensajes infructuosos

    thumb_up2 voto/sflag
  • icon

    jose luis moliner
    el 16/3/17

    No encuentro vectores unitarios podeis ayudarme

    replythumb_up0 voto/sflag
    icon

    Guillem De La Calle Vicente
    el 16/3/17

  • Usuario eliminado
    el 16/3/17

    No sé hacer esta derivada Apartado D ayuudaaaadme mañana tengo el examen

    replythumb_up0 voto/sflag
    icon

    Guillem De La Calle Vicente
    el 16/3/17


    thumb_up1 voto/sflag