Foro de preguntas y respuestas de Matemáticas

logo beUnicoos
Los foros de unicoos se han unificado en nuestra nueva plataforma beUnicoos. Para dejar nuevas preguntas deberás hacerlo allí, donde además podrás encontrar nuevas asignaturas y herramientas para ayudarte más con tus estudios.

  • icon

    Matemáticas
    el 13/3/17
    flagflag

    Considera las tres proposiciones siguientes

           P:   0 = 1.

           Q:   Todo número natural es igual a la suma de dos cuadrados.

           R:   En todo triángulo rectángulo, si a, b son los catetos y c es la hipotenusa, a²+b²=c².

    Podemos afirmar que la siguiente proposición es cierta?

           P → R


    replythumb_up0 voto/sflag
    icon

    Ángel
    el 13/3/17

    P: Falso

    Q: Falso

    R: Verdadero


    Falso → Verdadero

    Verdadero


    PODEMOS AFIRMAR QUE LA PROPOSICIÓN ES CIERTA

    thumb_up0 voto/sflag
  • icon

    Verónica
    el 13/3/17

    Buenas tardes.

    Como se resolvería paso a paso esto:

    Un grifo va llenando un recipiente de tal forma que cada minuto que pasa el grifo ha duplicado la cantidad de agua que hay en el recipiente. Si al cabo de 1 hora y media el recipiente está completamente lleno, ¿cuánto tiempo se habrá necesitado para llenar el recipiente un cuarto de su capacidad total?



    replythumb_up0 voto/sflag
    icon

    Ángel
    el 13/3/17

    Si lo piensas un poco, te dice que "a los 90 minutos (hora y media) el recipiente está lleno"

    Y también te dice que "cuando pasa un minuto se duplica la cantidad de agua"...entonces podemos deducir fácilmente que cada minuto antes el recipiente está a la mitad

    Por lo que:

    Minuto 90: RECIPIENTE LLENO

    Minuto 89: RECIPIENTE A LA MITAD

    Minuto 88: RECIPIENTE A UN CUARTO DE SU CAPACIDAD TOTAL

    Se habrán necesitado 88 minutos para  llenar el recipiente un cuarto de su capacidad total

    thumb_up0 voto/sflag
    icon

    César
    el 13/3/17


    thumb_up0 voto/sflag
    icon

    Verónica
    el 14/3/17

    Muchas gracias por vuestra ayuda :)

    thumb_up0 voto/sflag
  • icon

    Jan KO
    el 13/3/17

    encontre como hallar la ecuacion de una funcion cuadratica dados el vertice y un punto!
    ATENCION!!! PERO no he podido encontrar el metodo para hallar la ecuacion de una funcion cuadratica dados las raices y un punto!! ¿acaso eso es IMPOSIBLE!!!!!?

    replythumb_up0 voto/sflag
    icon

    César
    el 13/3/17

    Si te entendí bien, bastan las raices para tener la  ecuación  caracterizada., como (x-a)(x-b)=0  siendo a  y b las raices


    thumb_up0 voto/sflag
    icon

    Antonio
    el 13/3/17

    Se puede hacer

    Sean a y b las raíces de una función cuadrática y P(c,d) un punto de la misma

    esa ecuación es de la forma

    f(x) = (x-a)(x-b)k

    Para hallar el valor de k solo tienes que hacer que 

    f(c)=d, es decir,  k = d /[(c-a)(c-b)]

    thumb_up1 voto/sflag
  • icon

    ana
    el 13/3/17

    Me podriais solucionar el ejercicio 1

    replythumb_up0 voto/sflag
    icon

    Ángel
    el 13/3/17

    Tienes que mejorar la calidad de la foto de tu ejercicio para que podamos ayudarte, no se aprecia bien lo que pone

    thumb_up0 voto/sflag
    icon

    Antonio
    el 13/3/17

    y(t) = 3 + 0,5 · 20,2t

    a) Al inicio t = 0

        y(0) = 3 + 0,5 · 20,2·0 = 3 + 0,5 · 20 = 3 + 0,5 · 1 = 3 + 0,5 = 4,5 miles de insectos    

    b)

      El doble de 4,5 miles de insectos son 9 miles de insectos

        9 = 3 + 0,5 · 20,2t

        9 - 3 = 0,5 · 20,2t

        6 = 0,5 · 20,2t

         6/0.5 = 20,2t

         12 = 20,2t

          ln 12 = ln 20,2t

          ln 12 =0,2 t ln 2

     ln 12 / 0,2 ln2 = t

    t = 19.92 días


    thumb_up1 voto/sflag
  • icon

    Ivette Belina Condori Hinojosa
    el 13/3/17

    Hola buenas tardes una pregunta quería saber como contactar con únicoos.com, estoy haciendo un trabajo sobre medios tecnológicos en educación y quiero hacer sobre ustedes,  tengo algunas dudas? Gracias mi correo es ivettebelina2@hotmail.com






     

    replythumb_up0 voto/sflag
    icon

    César
    el 13/3/17

     unicoos@unicoos.com

    Si tardamos mucho mucho, es que estamos en Abu  dhabi, pero volveremos !!!!!

    thumb_up1 voto/sflag
  • icon

    A M B P
    el 13/3/17

    Hola,

    ¿me podeis explicar la simetría de una función? por favor que mañana tengo el examen y es una duda que tengo. Gracias 


    replythumb_up0 voto/sflag
  • icon

    sandra rubio
    el 13/3/17

    Hola. ¿Que corrección de Yates se aplica a P(X>=13) después de realizar el paso de binomial a normal? ¿ Se le restaría 0,5 o se le sumaría? Gracias.

    replythumb_up0 voto/sflag
    icon

    Antonius Benedictus
    el 13/3/17

    P(N>12.5)

    thumb_up0 voto/sflag
  • icon

    @navarroisso
    el 13/3/17


    replythumb_up0 voto/sflag
    icon

    Antonius Benedictus
    el 13/3/17

    ¿De qué se trata, Navarroisso?

    thumb_up1 voto/sflag
    icon

    @navarroisso
    el 14/3/17

    Del ejercicio 1 y 2

    thumb_up0 voto/sflag
  • icon

    Cristhian Alexander Montes
    el 13/3/17

    A

    replythumb_up0 voto/sflag
    icon

    Antonio
    el 13/3/17

    Derivabilidad de una función a trozos

    Solución a tu ejercicio:

    a = e-1/2

    b = 1/2


    thumb_up1 voto/sflag
    icon

    Cristhian Alexander Montes
    el 13/3/17

    Antonio me puede dar el proceso

    thumb_up0 voto/sflag
    icon

    Antonio
    el 13/3/17

    En primer lugar la función debe ser continua.

    para ello debes calcular los límites laterales en el 1 e igualarlos

    con ello obtienes que: aeb=1

    En segundo lugar debes derivarla y sustituir el 1 en ambos trozos

    con ello obtienes: baeb=1/2

    Y por último debes resolver el sistema

    obteniendo el resultado dado.

    thumb_up1 voto/sflag
    icon

    Antonio
    el 13/3/17

    icon

    Cristhian Alexander Montes
    el 13/3/17

    Hermano mi problema es que no se hacer los límites de f'- y f-+ porque son bien feos. Debo usar f(x)-f(a)/x-(tendencia) verdad?

    thumb_up0 voto/sflag
    icon

    Antonio
    el 14/3/17

    Es más fácil de lo que piensas.

    Para estudiar la continuidad solo debes sustituir el 1 en ambas e igualarlas, te tiene que dar aeb=1

    Para estudiar la derivabilidad solo debes, en primer lugar, derivar ambas; en segundo lugar, sustituir el 1 en ambas, y por último igualarlas, te tiene que dar baeb=1/2

    ¿Visualizaste el video que te recomendé?


    thumb_up0 voto/sflag
  • icon

    Cristy Sierra Dominguez
    el 13/3/17

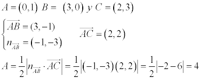
    Calcula el área del triángulo ABC siendo A(0,1) B (3,0) y C(2,3). Utiliza solo las ecuaciones vectoriales 


    replythumb_up0 voto/sflag
    icon

    César
    el 13/3/17

    Va Cristy

    thumb_up0 voto/sflag