Foro de preguntas y respuestas de Matemáticas

logo beUnicoos
Los foros de unicoos se han unificado en nuestra nueva plataforma beUnicoos. Para dejar nuevas preguntas deberás hacerlo allí, donde además podrás encontrar nuevas asignaturas y herramientas para ayudarte más con tus estudios.

  • icon

    Trollcence Lopez
    el 13/3/17

    Buenas noches, podeis ayudarme con la siguiente desigualdad por favor intente hacerla como veis pero como me lo esperaba el procedimiento esta mal



    replythumb_up0 voto/sflag
    icon

    Axel Morales Piñón.
    el 13/3/17

    Remata el ejercicio.


    thumb_up1 voto/sflag
  • icon

    Alirio Gomez
    el 13/3/17

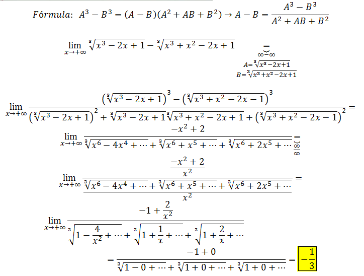
    Buenas noches, Ayuda con este limite... Segun mi profesor debe dar -1/3 pero realmente no se como llegarle y bueno espero que puedan ayudarme... espero que entiendan mi letra UwU.Cabe recalcar que hice la multiplicacion del denominador y quedo mas grande la expresión :/ a 

    replythumb_up0 voto/sflag
    icon

    Antonius Benedictus
    el 13/3/17


    thumb_up1 voto/sflag
  • icon

    Xia
    el 13/3/17

    Ayuda, ¿habría que hallar todos los determinantes posibles de A?

    replythumb_up0 voto/sflag
    icon

    Antonius Benedictus
    el 13/3/17


    thumb_up0 voto/sflag
    icon

    Antonius Benedictus
    el 13/3/17


    thumb_up0 voto/sflag
  • icon

    Alexis F. Herrera
    el 13/3/17

    Hola buenas noches, queria saber si alguien me podria dar una mano con este ejercicio no logro comprender como desarrollarlo desde ya muchas gracias. saludos desde Argentina

    replythumb_up1 voto/sflag
    icon

    Antonius Benedictus
    el 13/3/17

    Puedes hacer tú la 2ª parte:


    thumb_up1 voto/sflag
    icon

    Alexis F. Herrera
    el 13/3/17

    Muchas gracias Antonio la verdad estaba algo estresado por no poder realizarlo y lo pude hacer al final era muy facil 

    thumb_up0 voto/sflag
  • icon

    carlos jimenez
    el 13/3/17

    Buenas noches, tengo un ejercicio que me dice:
    ¿Cuantos numeros de 5 cifras que se puede formar con {0, 1, 2, ..., 9}? De tal manera que el primero no puede tomar 0 y los otros 4 si... Saludos desde Argentina! :D

    replythumb_up0 voto/sflag
    icon

    Pablo Reyes
    el 13/3/17

    Suponiendo que los números no se puedan repetir, y que el cero, obviamente no puede ser la primera cifra sería 9x9x8x7x6

    El primer nueve es porque en la primera cifra pueden ir todos esos números menos el 0 El segundo nueve es porque en la segunda cifra pueden ir todos los números incluido el cero, pero no el primero que ya has puesto

    El 8, es porque ya sólo puedes poner 8 posibilidades, y el 7 por lo misma razón.


    Si se pudieran repetir los números

    sería 9x10x10x10x10

    El primer nueve es porque no puede ir el cero, y te quedan nueve posibilidades

    y en las cuatro posiciones restantes pueden ponerse cualquiera de tus diez candidatos.


    Espero haberte ayudadoo!! Mírate vídeos de unicoos de combinatoria, que te van a venir de lujo, sobretodo el esquemita que pone el en vídeo. Saludos.


    thumb_up0 voto/sflag
  • icon

    Infam Salem
    el 13/3/17

    Buenas noches, Tengo problemas para interpretar el siguiente ejercicio, llegue a la conclucion de que, no hay ninguna recta que pueda mantener las condiciones, que sea tangente a la primera curva y que al mismo tiempo pase por esos dos puntos... Pero se que me equivoco... alguien me puede ayudar...

    replythumb_up0 voto/sflag
    icon

    Facu Imfeld
    el 13/3/17

    Yo también lo veo imposible

    thumb_up1 voto/sflag
  • Usuario eliminado
    el 12/3/17

    Hola!

    ¿Sería posible (dependiente del nivel de carga que tengáis claro) algún vídeo explicando la fórmula de Herón?

    Muchas gracias y un saludo!

    replythumb_up0 voto/sflag
    icon

    Antonio
    el 13/3/17

  • icon

    Juan Daniel Fontalvo Rivas
    el 12/3/17


    replythumb_up0 voto/sflag
    icon

    Antonio
    el 13/3/17

  • icon

    Juan Daniel Fontalvo Rivas
    el 12/3/17

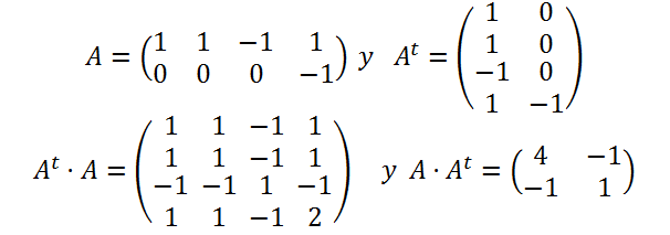
    buenas tardes, tengo este ejercicio de algrabra mi inquietud es si la x es un numero o una matriz.. alguien me pueda explicar 

    replythumb_up0 voto/sflag
    icon

    ddiazra
    el 12/3/17

    Cuando sumas , restas o multiplicas matrices el resultado es una matriz, asi que x es una matriz

    thumb_up1 voto/sflag
    icon

    Antonio
    el 12/3/17

    es una matriz 2x2

    thumb_up1 voto/sflag
    icon

    Juan Daniel Fontalvo Rivas
    el 13/3/17

    pero me estan pidiendo un valor, y eso es lo que confunde 

    thumb_up0 voto/sflag
  • icon

    Pedro
    el 12/3/17

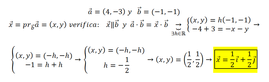
    Ayuda con este ejercicio por favor.


    replythumb_up1 voto/sflag
    icon

    Antonius Benedictus
    el 12/3/17

    La primera sí. La segunda,no, pues para ciertos valores de X hay dos valores distintos de y.

    thumb_up2 voto/sflag
    icon

    Pedro
    el 12/3/17

    Muchas gracias Antonio.

    thumb_up0 voto/sflag