Considera las tres proposiciones siguientes
P: 0 = 1.
Q: Todo número natural es igual a la suma de dos cuadrados.
R: En todo triángulo rectángulo, si a, b son los catetos y c es la hipotenusa, a²+b²=c².
Podemos afirmar que la siguiente proposición es cierta?
P → P
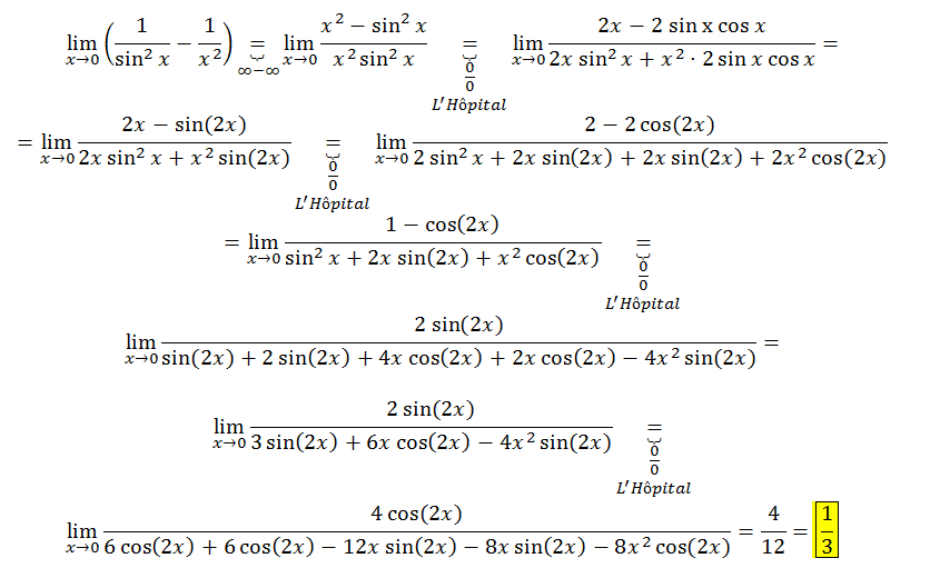
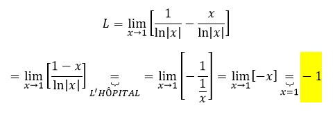
disculpen la molestia de nuevo pero intento hacer el 18 y me da 1 en vez de -1 que es el resultado y el 21 no me da en si
21.-
a) Haz la resta:
(x-sen) / x2senx
b) Aplica la regla:
(1-cosx) / (2xsenx+x2cosx)
c) Aplica de nuevo la regla:
(senx) / (2senx+2xcosx+2xcosx-x2senx) = (senx) / (2senx+4xcosx-x2senx)
c) Aplica de nuevo la regla:
(cosx) / (2cosx+4cosx-4xsenx-2xsenx-x2cosx) = (cosx) / (6cosx-6xsenx-x2cosx)
y finalmente el límite es 1/6
(2bach ccss)Como se calcula el crecimiento, decrecimiento máximos y mínimos de una función a trozos?