tg(2x-π/3)=tg 4x Resolver en(R,+, . ≤)
utilicé la fórmula:
tg a = tg b →a=b+kπ
4x=2x-π/3+kπ
4x-2x=-π/3+kπ
x=(1/2)(-π/3+kπ)
x = -π/6+kπ/2
Quería saber si el valor de x es correcto y si hay que hacer eso en este caso. Desde ya muchísimas gracias.

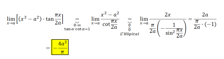
Observa que el primer factor del argumento tiende a cero, y que el segundo factor tiende a infinito, por lo que tenemos una indeterminación.
Luego, puedes aplicar la identidad trigonométrica: tanu = 1/cotgu para el segundo factor, y el argumento queda:
(x2 - a2)/cotg(πx / 2a),
y observa que tanto el numerador como el denominador tienden a cero, por lo que podemos aplicar la Regla de L'Hôpital,y para ello derivamos al numerador (N) y al denominador (D) por separado:
N ' = 2x (observa que tiende a 2a),
D ' = ( -1/sen2(πx / 2a) )*(π / 2a)) (observa que tiende a -π / 2a.
Luego, pasamos al cálculo del límite:
Lím(x→a) (x2 - a2)*tan(πx / 2a) = sustituimos el segundo factor:
= Lím(x→a) (x2 - a2)/cotg(πx / 2a) = aplicamos la Regla de L'Hôpital:
= Lím(x→a) 2x / ( -1/sen2(πx / 2a) )*(π / 2a)) = resolvemos = 2a / (-π / 2a) = - 4a2/π.
Espero haberte ayudado.
Me gustaria que me ayudasen a resolver un par de logaritmos que no termino de comprender
y=x2ln2x
y=x2e-2x
y= ln3x-3lnx
y=ln(4-x2)
gracias por todo
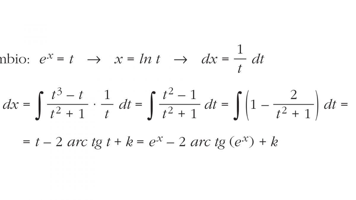
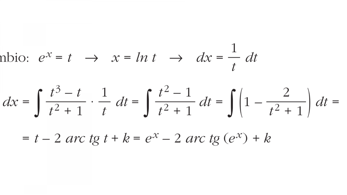
¿En esta integral cómo es posible que haya puesto el arcotangente? ¿No se supone que para usar el arcotangente arriba debería tener la derivada de la función? No lo comprendo.
como calcular
2sen2x−1=0

Haces pasaje de término y queda:
2sen(2x) = 1, haces pasaje de factor como divisor y queda:
sen(2x) = 1/2, luego observa que tienes dos opciones, una en el primer cuadrante y otra en el segundo cuadrante:
a) compones en ambos miembros con la función inversa del seno y queda:
2x = π/6 + 2kπ, divides por dos en todos los miembros de la ecuación y queda:
x = π/12 + kπ, con k ∈ Z.
b) compones en ambos miembros con la función inversa del seno y queda:
2x = 5π/6 + 2nπ, divides por dos en todos los miembros de la ecuación y queda:
x = 5π/12 +nπ, con n ∈ Z.
Espero haberte ayudado.
Pregunta rápida: en √x/x=0 ¿Por qué no es válido x=0? El libro dice que la ecuación no tiene solución...

Observa que la expresión algebraica irracional del primer miembro es fraccionaria, por lo que debe cumplirse que x es distinto de cero para que no se anule el denominador, y observa también que para que la raíz cuadrada del numerador exista, debe cumplirse que x es mayor o igual que cero. Por lo tanto, tenemos como condición para la ecuación:
x > 0.
Luego, haces pasaje de divisor como factor y queda:
√(x) = 0*x, resuelves el segundo miembro y queda:
√(x) = 0, haces pasaje de raíz como potencia y queda:
x = 02, resuelves el segundo miembro y queda:
x = 0, que no se corresponde con la condición remarcada que deben cumplir las soluciones de esta ecuación.
Por lo tanto, concluimos que la ecuación no tiene solución.
Espero haberte ayudado.
Expresar en sistema circular a)57° b) 89° 25´ c) 400° 30´ 20¨ (si me podrian mostrar como se hace la regla de 3)Gracias!

Recuerda la equivalencias entre grados y radianes: 180° = π rad,
entre grados y minutos: 1° = 60' y entre grados y segundos: 1° = 3600''.
a)
α = 57° = 57*π/180 = (19/60)π rad.
b)
β = 89° 25' = 89° + (25/60)° = 89° + (5/12)° = (1073/12)° =
= (1073/12)*π/180 = (1073/2160)π rad.
c)
γ = 400° 30' 20'' = 400° + (30/60)° + (20/3600)° = 400° + (1/2)° + (1/180)° = (72091/180)° =
= (72091/180)*π/180 = (72091/32400)π rad.
Luego, con calculadora, puedes expresar los resultados en forma aproximada con números decimales.
Las reglas prácticas son:
para pasar grados a radianes: multiplicas por π/180;
para pasar minutos a grados: multiplicas por 1/60;
para pasar segundos a grados: multiplicas por 1/3600.
Espero haberte ayudado.