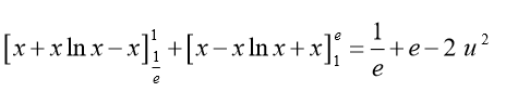
Tengo un problema, al hacer esta integral definida el resultado me da -1/e+e-2, sin embargo, en la solución de arriba pone que es 1/e+e-2
Aquí está cómo lo he hecho:
Un cilindro de metal tiene las siguientes propiedades medibles : masa de 1500 gramos, volumen de 600 cm3, altura de 20 cm, base con 30 cm2 de superficie. Utilizando algunos de los datos anteriores, calcula la densidad de ese metal. Usa metros y kilogramos en las unidades.
Dato: Densidad= masa/volumen
P.D. Parece un problema de otra asignatura, pero es de matemáticas.
A ver si te podemos ayudar Sofía.
Pues no es más que coger los datos y pasarlos a las unidades del SI (Sistema Internacional) y luego calcular la densidad.
Masa. 1500 gramos = 1,5 Kg.
Volumen. 600 cm3 = 600 (10-2)3 m3 = 600 · 10-6 = 6 · 10-4 m3
Densidad = masa/volumen = 1,5 /6 · 10-4 = 2.500 kg/m3
Saludos.
Buenas profesores es urgente como quedarian estos ejersicios?
4.Hallar para la función de 3 variables la derivada parcial de primer orden, en
dirección de z (
∂
∂z y simplificar la expresion resultante.
a.- f (x,y,z) = 3xy + 6xz − y 2 + z 3
b.- f (x,y,z) = z . cos (3z 2 - 3xyz)
c.- f(x,y,z)= ln(4x 2 y 2 z 2 + 2yz) . sen(2xyz 2 )

Recuerda que cuando derivas parcialmente con respecto a z, debes considerar constantes a las demás variables.
a) Tienes la función cuya expresión es:
f(x,y,z) = 3xy + 6xz - y2 + z3, luego su derivada con respecto a z queda:
∂f/∂z = 0 + 6x*1 - 0 + 3z2 = 6x + 3z2 = 3(2x + z2).
b) Tienes la función cuya expresión es:
f(x,y,z) = z*cos(3z2 - 3xyz),
luego derivamos con la regla del producto, y en el segundo factor con la regla de la cadena, y su derivada con respecto a z queda:
∂f/∂z = 1*cos(3z2 - 3xyz) + z*( -sen(3z2 - 3xyz)*(6z - 3xy) ) =
= cos(3z2 - 3xyz) - z*(6z - 3xy)*sen(3z2 - 3xyz) =
= cos(3z2 - 3xyz) - 3z*(2 - xy)*sen(3z2 - 3xyz).
c) Tienes la función cuya expresión es:
f(x,y,z) = ln(4x2y2z2 + 2yz)*sen(2xyz2),
luego derivamos con la regla del producto, y en ambos factores con la regla de la cadena, y su derivada con respecto a z queda:
∂f/∂z = ( 1 / (4x2y2z2 + 2yz) )*(8x2y2z + 2y)*sen(2xyz2) + ln(4x2y2z2 + 2yz)*cos(2xyz2)*4xyz =
= (8x2y2z + 2y)*sen(2xyz2) / (4x2y2z2 + 2yz) + 4xyz*ln(4x2y2z2 + 2yz)*cos(2xyz2) =
= 2y*(4x2yz + 1)*sen(2xyz2) / 2yz*(2x2yz + 1) + 4xyz*ln(4x2y2z2 + 2yz)*cos(2xyz2) =
simplificamos el factor y el divisor remarcados en el primer término:
= (4x2yz + 1)*sen(2xyz2) / z*(2x2yz + 1) + 4xyz*ln(4x2y2z2 + 2yz)*cos(2xyz2).
Espero haberte ayudado.
Hola quería consultar por el tema de la PROPORCIONALIDAD DIRECTA...como hacer para identificar cuando un problema es de proporcionalidad o no.