Foro de preguntas y respuestas de Matemáticas

logo beUnicoos
Los foros de unicoos se han unificado en nuestra nueva plataforma beUnicoos. Para dejar nuevas preguntas deberás hacerlo allí, donde además podrás encontrar nuevas asignaturas y herramientas para ayudarte más con tus estudios.

  • icon

    Cristian Reynoso
    el 9/3/17

    hola estimados me podrían  ayudar a graficar las ecuaciones  involucradas  y determine la o las soluciones         X + Y= 9

                                                                                                                                                                                                           2X + 2Y= 19

    replythumb_up0 voto/sflag
    icon

    Antonius Benedictus
    el 9/3/17

    x+y=9 pasa por (0,9) y (9,0)

    2x+2y=19 pasa por (0,9.5)  y (9.5,0)

    Ergebnisgrafik


    thumb_up1 voto/sflag
  • icon

    NGR2014
    el 9/3/17

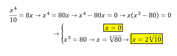
    Otra pregunta... en la ecuación x^4/10= 8x llego a x(x^3-80)=0, Tengo que usar la identidad de diferencia de cubos (a^3-b^3)=(a-b)(a^2+ab+b^2) para resolver el paréntesis. Y yo lo que haría es (x^3-20^3) siendo a=x; b=20 en la identidad notable pero en symbolab no descomponen 80 y en la identidad notable usan b=80. ¿Por qué? 


    replythumb_up0 voto/sflag
    icon

    Antonius Benedictus
    el 9/3/17

    No es preciso aplicar esa fórmula. Es todo más fácil.


    thumb_up1 voto/sflag
  • icon

    Arnau Planas
    el 9/3/17

    Hola. Me podrían explicar como se harían estos ejercicios:


    A= (1,3)   B= (-1,2)   C= (4,1)        W= x2 -5x +y2 +2y=0     r:  x+3y -5=0


    - Curcunferencias de centro A i tangente a W.

    - Punto F siendo ABCF un paralelogramo

    - Circunferencia concéntrica de W y tangente a r

    Gracias


    replythumb_up0 voto/sflag
    icon

    Antonius Benedictus
    el 9/3/17

    Va el 1º Arnau:


    thumb_up1 voto/sflag
    icon

    Antonius Benedictus
    el 9/3/17

    El 2º:


    thumb_up1 voto/sflag
    icon

    NGR2014
    el 9/3/17

    Gracias!

    thumb_up0 voto/sflag
  • icon

    Majda Yahya
    el 9/3/17

    No entiendo este ejercicio alguien me puede ayudar. 


    Gracias, un saludo.

    replythumb_up0 voto/sflag
    icon

    Antonius Benedictus
    el 9/3/17

    http://www.vitutor.com/estadistica/bi/correlacion.html


    thumb_up1 voto/sflag
  • icon

    Victoria Hernández
    el 9/3/17

    cos 2x = -1

    replythumb_up0 voto/sflag
    icon

    Antonius Benedictus
    el 9/3/17

    2x=180º+k·360º

    x=90º+k·180º

    En radianes:

    x=(pi/2)+k(pi)

    Con k un un número entero.

    thumb_up0 voto/sflag
  • icon

    Sonsoles Retuerta Gil
    el 9/3/17

    Buenos dias:

    Tengo una duda con una pregunta sobre nímeros enteros:

    El producto de los opuestos de dos números enteros:

    a) al opuesto del producto de ambos

    b) al producto de sus valores absolutos

    c) al producto de ambos

    Yo pienso que la respuesta correcta sería la b) puesto que 5 x (-5) = -25 ; pero según el libro de respuestas es la c) y como ejemplo de explicación utiliza el 3 y -5.  Los números 3 y -5 no son números opuestos ¿verdad?

    Gracias


    replythumb_up0 voto/sflag
    icon

    Antonius Benedictus
    el 9/3/17

    (-a)(-b)=ab

    Es c).

    El ejemplo:

    3·(-5)-15

    Producto de los respectivos opuestos:

    (-3)·5=-15

    thumb_up0 voto/sflag
    icon

    Sonsoles Retuerta Gil
    el 9/3/17

    Ahora si que lo he entendido. Gracias


    thumb_up0 voto/sflag
  • icon

    Rocio Orellana
    el 9/3/17

    Hola, necesito ayuda. No entiendo como sacar el argumento de un número complejo trabajando en radianes, intento hacerlo pero todos me salen mal. Por ejemplo: z= (2 - 3j)/ (j - 5), saco su forma binómica y me da: (-1/2) + (1/2)j . Saco su módulo y me queda √2/2. Para sacar el argumento (no puedo usar calculadora) hago: arctan (1/2)/(-1/2) y aquí ya no se como seguir. La solución me dice que el argumento = 3π/4.

    replythumb_up0 voto/sflag
    icon

    Antonius Benedictus
    el 9/3/17

    El complejo es del 2º cuadrante. Como tan=-1, tienes que adaptar el ángulo al cuadrante. en este caso, pi-(pi/4)=3pi/4

    thumb_up0 voto/sflag
    icon

    Rocio Orellana
    el 9/3/17

    Entiendo, y si tengo un complejo con solo parte imaginaria negativa, ejemplo: z = -√2j, su argumento sería 3π/2 ?? O como se haría?

    thumb_up0 voto/sflag
    icon

    Antonius Benedictus
    el 9/3/17

    Te explico:


    thumb_up0 voto/sflag
  • icon

    NGR2014
    el 9/3/17

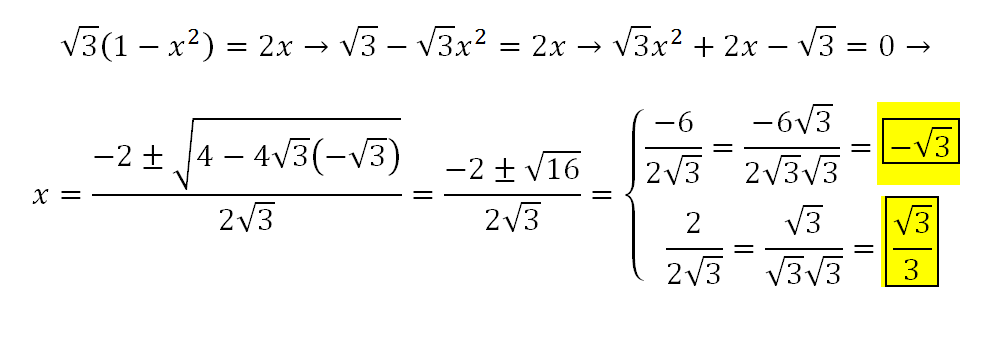
    El ejercicio es resolver √3 * (1-x2) = 2x 

    Llego, después de la ecuación de segundo grado que me da: -√3 * x2-2x+√3 = 0  a -3/√3 En symbolab me dice que "elimine los simbolos comunes" para que de ahí me de -√3, que es la respuesta del libro. No lo entiendo, ¿me echáis un cable?

    replythumb_up0 voto/sflag
    icon

    Antonius Benedictus
    el 9/3/17


    thumb_up0 voto/sflag
    icon

    NGR2014
    el 9/3/17

    Sigo sin entenderlo... De dónde sale ese √3 extra? ¿Me lo podrías explicar paso a paso y que propiedad se utiliza ahí? Gracias

    thumb_up0 voto/sflag
    icon

    Antonius Benedictus
    el 9/3/17

    ¿A qué raíz de 3 extra te refieres?

    En  el resultado final, simplemente se ha racionalizado.

    thumb_up0 voto/sflag
    icon

    NGR2014
    el 9/3/17

    Acabo de entenderlo, gracias de nuevo!

    thumb_up0 voto/sflag
  • icon

    Krasi Ferrer Roca
    el 9/3/17

    Me podeis ayuda con este limite. Gracias.     


    replythumb_up0 voto/sflag
    icon

    Antonius Benedictus
    el 9/3/17


    thumb_up1 voto/sflag
    icon

    Krasi Ferrer Roca
    el 9/3/17

    Ya lo entiendo, pero se me hace muy difícil verlo. Yo lo había solucionado asi

    como el infinito de arriba era mayor que el infinito de abajo es resultado es un infinito positivo  ( 56- infinito) = - infinito.

    Tienes algún sistema para saber (ver) como solucionarlo tal como lo has hecho. Gracias

    thumb_up0 voto/sflag
    icon

    Antonius Benedictus
    el 9/3/17

    El cociente de infinitos se produce en un cociente de polinomios del mismo grado. Hay que extraer factor común del numerador y del denominador la potencia de mayor grado (en este caso, t ) y simplificar. Y luego analizar la tendencia del resultado.

    thumb_up1 voto/sflag
    icon

    Antonius Benedictus
    el 9/3/17

    Como recurso extremo, mete en la calculadora un valor grande de t (t=1000000, por ejemplo), y pbserva lo que sale.


    thumb_up1 voto/sflag
  • icon

    Moises Roman Cañizares
    el 9/3/17

    Me pueden explicar la suma de fracciones algebraicas???

    replythumb_up0 voto/sflag
    icon

    Antonius Benedictus
    el 9/3/17