Foro de preguntas y respuestas de Matemáticas

logo beUnicoos
Los foros de unicoos se han unificado en nuestra nueva plataforma beUnicoos. Para dejar nuevas preguntas deberás hacerlo allí, donde además podrás encontrar nuevas asignaturas y herramientas para ayudarte más con tus estudios.

  • icon

    Heber Gonzales
    el 3/3/17

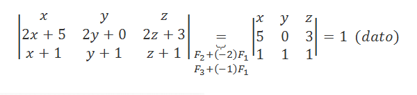
    Alguien puede ayudarme con alguno de estos problemas o que debo usar 


    replythumb_up0 voto/sflag
    icon

    Antonius Benedictus
    el 3/3/17


    thumb_up1 voto/sflag
  • icon

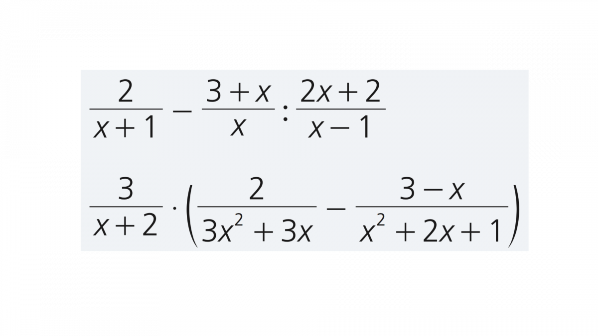
    Paula
    el 3/3/17
    flag

    ¡Paso a paso por favor!


    replythumb_up0 voto/sflag
    icon

    Ángel
    el 3/3/17

    Para el primero efectúa la división, pasa a común denominador, unifica numerador, efectúa las operaciones pertinentes y simplifica

    El segundo casi análogo, pero haz antes de nada lo del paréntesis

    Con esto, intentalo y mandanos tu resolución...te ayudaremos seguro


    Lo digo porque si no, nunca vas a aprender a "andar" por ti misma


    P.D: En tu ejecicio, tal como está sólo podríamos simplificar...porque al no haber un signo "=" no podemos hallar el valor de "x"


    thumb_up0 voto/sflag
  • icon

    Igone
    el 3/3/17

    No entiendo como se hace la "c"


    replythumb_up0 voto/sflag
    icon

    Antonius Benedictus
    el 3/3/17


    thumb_up0 voto/sflag
    icon

    César
    el 3/3/17


    thumb_up0 voto/sflag
  • icon

    Leilyta Banegas
    el 3/3/17

    Hola! Investigando este problema lo encontré resuelto así..... Me podrían explicar como y porqué se aplica el criterio de múltiplos..., (el problema es para  ingreso a la secundaria) Desde ya muchas gracias!!! Saludos!


     Iván cobra en un banco de $ 2700 y le pide al cajero que se lo entregue de la siguiente forma: cierta cantidad en billetes de $ 10, 20 veces esa cantidad de billetes de $ 20 y el resto en billetes de $ 50 ¿Cuántos billetes en total recibió Iván?

     

    Resolución: $ 2700

     

    𝑇𝑜𝑡𝑎𝑙 𝑑𝑒 𝑏𝑖𝑙𝑙𝑒𝑡𝑒𝑠 21𝑥+𝑦= ?

     

    Calculamos el total de dinero que hay multiplicando el valor del billete por el número de billetes

    10𝑥+20( 20𝑥) +50 𝑦 =2700

     

    410𝑥+50𝑦=2700

     

    41𝑥+5𝑦=270

     

     Utilizaremos criterios de múltiplos: 41𝑥+ 5𝑦. 5 = 270. 5

     

    41𝑥= 5 : 𝑥=5 ó 10 ó 15 …

     

    41𝑥+5𝑦=270

     

    Entonces: x = 5; y = 13

    21(5) +13= 18 billetes

     

    x billetes 20x billetes y billetes

    replythumb_up0 voto/sflag
    icon

    Ángel
    el 3/3/17

    ?

    thumb_up0 voto/sflag
    icon

    Leilyta Banegas
    el 3/3/17

    Hola Maths! Qué me preguntas? Perdón en la suma de billetes el resultado es 118 billetes



    thumb_up0 voto/sflag
    icon

    Ángel
    el 3/3/17

    Adjunta el enunciado original

    Yo por lo menos no soy capaz de ver de dónde sacas ciertas cosas 

    thumb_up0 voto/sflag
    icon

    Leilyta Banegas
    el 3/3/17

    Gracias Maths! el enunciado original es el que puse....

     Iván cobra en un banco de $ 2700 y le pide al cajero que se lo entregue de la siguiente forma: cierta cantidad en billetes de $ 10, 20 veces esa cantidad de billetes de $ 20 y el resto en billetes de $ 50 ¿Cuántos billetes en total recibió Iván?


    Me ayudás a resolverlo por favor!!!!!!!!!

    thumb_up0 voto/sflag
    icon

    Ángel
    el 3/3/17


    Se utiliza el criterio de múltiplos de 5 porque 270 acaba en cero y 5y siempre acabará en 5 o 0

    thumb_up2 voto/sflag
    icon

    Leilyta Banegas
    el 3/3/17

    Muchas gracias Maths!!! ... eso es lo que encontré en la web... y es allí donde no entiendo el paso  marcado con la flecha roja....  41x=....... Gracias por tu atención

    thumb_up0 voto/sflag
    icon

    Leilyta Banegas
    el 3/3/17

    Muchas gracias Maths! ya lo entendí.........

    thumb_up0 voto/sflag
  • icon

    Maria
    el 3/3/17


    replythumb_up0 voto/sflag
    icon

    Ángel
    el 3/3/17


    thumb_up0 voto/sflag
    icon

    Maria
    el 4/3/17

    Y por determinantes?

    thumb_up0 voto/sflag
    icon

    Eliana
    el 4/3/17

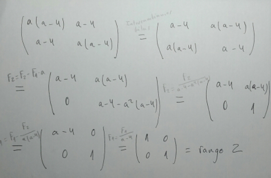
    Los rangos se calculan por determinantes. En este caso, el determinante de la matriz sería:

    (a(a-4))2-(a-4)2= a2(a2-8a+16)-(a2-8a+16)= (a2-8a+16)(a2-1)

    Para que el rango sea 2, el determinate tiene que ser distinto de cero, por lo que tienes que buscar los valores que hacen cero al determinante y descartarlos, que serían:

    (a2-8a+16)= 0       o       (a2-1)=0

    (a2-8a+16)= 0      Resuelves la ecuación de segundo grado y obtienes a=4

    (a2-1)=0               a2=1     a=±1

    Resultado: el rango de la matriz sera 2 para a≠1, a≠-1, a≠4.

    Si sustituyes estos valores en la matriz, verás que el determinante te sale cero y por tanto, no podría tener rango 2. Tendrías que hacer un estudio similar para ver si tiene rango 1.

    Si sustituyes otro valor de a, verás que el determinante ya no es cero y por tanto el rango es 2 (ej: a=2, el determinante sería 12 y el rango es 2)








    thumb_up0 voto/sflag
  • icon

    Maria
    el 3/3/17

    Si una matriz de orden dos el derminante me da 0 el rango es 0 o 1? 

    replythumb_up0 voto/sflag
    icon

    Antonius Benedictus
    el 3/3/17

    Correcto. Y es 0 solo si la matriz es la matriz nula.

    thumb_up0 voto/sflag
    icon

    Maria
    el 4/3/17

    Si tengo una matriz de orden dos que  no es la matriz nula y su determinante es 0 ¿cual es el rango? 

    thumb_up0 voto/sflag
    icon

    Eliana
    el 4/3/17

    Si una matriz tiene algún número que sea distinto de cero, tiene como mínimo, rango 1. Por tanto, si tienes una matriz de orden 2 cuyo determinante es cero y no es la matriz nula, su rango sera 1.

    thumb_up0 voto/sflag
  • icon

    Marcos
    el 3/3/17

    Hola una duda de integrales dobles con coordenadas polares: 

    Calcular ∫∫R (sen (x2+y2) dA donde R es la región en el primer cuadrante comprendido entre las circunferencias con centro en el origen y radios 1 y 3. 

    Lo que yo se es que              0≤θ≤π/2

    Pero r, esta entre            1≤r≤3  o  0≤r≤√3   ????


    Siempre cuando hago estos ejercicios me agarra esa duda. No se cuándo tengo que poner raiz y cuando no. Desde ya muchas gracias. 


     

     


    replythumb_up0 voto/sflag
    icon

    Antonius Benedictus
    el 3/3/17

    El radio, entre 1 y 3.

    Te confundes porque en la ecuación de la circunferencia, al elevar al cuadrado ambos miembros, que da x^2+y^2=r^2

    thumb_up0 voto/sflag
  • icon

    Sebastián
    el 3/3/17

    ¿Alguien me puede explicar el procedimiento qué se realiza aquí? 

    Gracias de antemano.


    replythumb_up0 voto/sflag
    icon

    Ángel
    el 3/3/17


    thumb_up0 voto/sflag
    icon

    Sebastián
    el 3/3/17

    Muchas gracias Maths.

    thumb_up0 voto/sflag
  • icon

    Natalia Jiménez
    el 3/3/17

    Sin calculadora, por favor:


    replythumb_up0 voto/sflag
    icon

    Ángel
    el 3/3/17

    a)Numerador: 6.147*4.6=28.2762, 10-2*103=101    --------> 28.2762*10= 2.82762*102

    Denominador: 7.9*6.57=51.903, 108*10-5=103    --------> 51.903*1035.1903*104


    2.82762*102/5.1903*104= 2.82762*102*5.1903*10-4= 14.6762*10-2= 0.146762


    ¿Intentas hacer el otro y nos cuentas?


    thumb_up0 voto/sflag
  • icon

    pedro
    el 3/3/17

    una pregunta porque mcd  con descompocicion y sin descompocicion no sale el mismo resultado?  y para que salga el resultado se tiene que pensar forzozamente en un numero mayor que meltiplique  esos numeros lo cual es un poco complicado hacerlo con descomposicion y el mcm con o sin descompocicion si sale el mismo resultado. como por ejemplo mcd de de 80 y 70 = 10 y el 10 no es un numero primo osea que el resultado no tiene que ser numeros primos de mcd?


    replythumb_up0 voto/sflag
    icon

    Antonius Benedictus
    el 3/3/17

    El máximo común divisor de dos números es el mayor de todos los divisores comunes a ambos, y no tiene por qué ser un número primo.

    Divisores de 80:  1,2,4,8,10,16,20,40,80

    Divisores de 70: 1,2,5,7,10,14,35, 40

    Comunes: 1,2, 10

    El máximo:  10.

    thumb_up1 voto/sflag