
Si multiplicas los dos miembros de la 1ª ecuación por (-2) obtienes la 2ª ecuación. esto significa que la 2ª ecuación no aporta información ninguna. Como te queda solo una ecuación, para cada valor λ que le asignes a "y", la "x" te queda en función de λ (despejando).
El sistema, pues, tiene infinitas soluciones.
Cuantas antiimageness tiene -3? Si hago los estudios de los limites se que hay una asíntota horizontal en y=3 pero eso quiere decir que 3 tiene infinitas antiimagenes? O solo 2√3?

Hola, me podrían ayudar con este ejercicio de probabilidad básica, me quedé atascado...
Los nombres de 5 hombres y 4 mujeres están escritos en unas tarjetas. Si 6 de las tarjetas son tomadas al azar. ¿Cuál es la probabilidad de obtener los nombres de:
a) 4 hombres y 2 mujeres
b) 4 hombres y 3 mujeres
Hola, como puedo calcular el valor de la primera derivada en un punto, a partir de la gráfica de la función, sin conocer cual es esa función. Es decir en la imagen que adjunto (no conozco su función), puedo sacar que f (-2)=2. Pero f ' (-2)= ¿?. ¿Cómo se obtiene ese valor?
Buena noches, me podrían ayudar con este ejercicio:
Se sabe que la demanda es p´(x)= -1 /√50-2x y que el punto de equilibrio del mercado para dicho bien es (x;p) = (7,10). Se pide calcular la función de demanda y el excedente del consumidor.
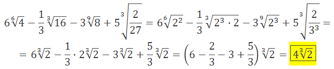
Saludos unicoos, me encontré con esta imagen en un foro de facebook, y de verdad, mi respuesta fue que "la igualdad es falsa" y que algebraicamente, no es posible encontrar dicho valor para x, y que puede aproximarse con métodos numéricos, Pero matemáticamente como se explica que esto ocurra, es decir, como explico que la esprecion es falsa. gracias de antemano![]()

Me encantaría ayudarte, pero no respondo dudas universitarias que no tengan que ver específicamente con los videos que ya he grabado como excepcion. O de otras asignaturas que no sean matemáticas, física y química. Lo siento de corazón… Espero lo entiendas
Ojalá algun unicoo universitario se anime a ayudarte (de hecho lo ideal es que todos los universitarios intentarais ayudaros los unos a los otros)
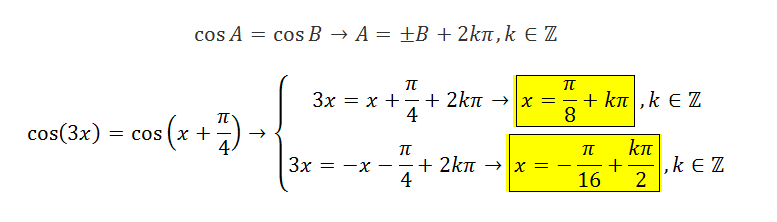
Buenas... cos 3x= cos(x+π/4)
Está bien si me dio la solución π/8 ???
AYUDA!!
Sean a = (1,0,-1) y b= (1,2,3) hallar el angulo que forman a+b y a-b