Foro de preguntas y respuestas de Matemáticas

logo beUnicoos
Los foros de unicoos se han unificado en nuestra nueva plataforma beUnicoos. Para dejar nuevas preguntas deberás hacerlo allí, donde además podrás encontrar nuevas asignaturas y herramientas para ayudarte más con tus estudios.

  • icon

    Sebastián
    el 2/3/17

    Ayuda Antonio Benito, por favor.


    replythumb_up0 voto/sflag
    icon

    Ángel
    el 2/3/17


    thumb_up0 voto/sflag
    icon

    Sebastián
    el 3/3/17

    Maths, no he entendido el procedimiento.

    thumb_up0 voto/sflag
  • icon

    Rocio Redero Conde
    el 2/3/17

    Y otro fácil. Me piden cuánto miden las diagonales del rombo si sabemos que un lado mide 8cm y el ángulo menor es de 38º. Es trigonometria de 4eso. Muchas gracias.

    replythumb_up0 voto/sflag
    icon

    Antonius Benedictus
    el 3/3/17

    Si pones al romo "sentado", y llamas h a la altura;

    sin 38º=h/8

    Despeja h

    Entonces, la diagonal mayor D:

    sin 38º= h/D

    Despejas D.

    La mitad de la otra la puedes hallar por Pitágoras, pues las diagonales de un rombo se cortan en su punto medio y son perpendiculares.

    thumb_up0 voto/sflag
  • icon

    Rocio Redero Conde
    el 2/3/17

    Tengo el sgte triángulo:(tengo que averiguar por qué me importa tan grande la imagen). Me piden la altura y el área. Es un ejercicio de 4ESO. gracias


    replythumb_up0 voto/sflag
    icon

    César
    el 2/3/17


    thumb_up0 voto/sflag
    icon

    Rocio Redero Conde
    el 3/3/17

    Gracias César.

    Pero tengo una duda, sin utilizar el teorema del coseno yo he calculado la altura como sen 35º=h/28  y h=16,1 cm. Pero el área no sé sí lo hago bien:

    Area= (16,1x13)/2= 104,65m ????????

    Podrías decirme algo.


    Gracias

    thumb_up0 voto/sflag
  • icon

    Julia
    el 2/3/17

    Antonio Benito, ayúdame con este ejercicio.


    replythumb_up0 voto/sflag
    icon

    Ángel
    el 2/3/17


    thumb_up1 voto/sflag
    icon

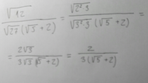
    Julia
    el 2/3/17

    Maths, antes de la solución, las √3 se van por simplificación, porque son multiplicaciones y, no afectan al resto de la operación, como puede ser una suma o una resta, ¿no?

    thumb_up0 voto/sflag
    icon

    Antonius Benedictus
    el 2/3/17


    thumb_up0 voto/sflag
    icon

    Ángel
    el 2/3/17

    No te entiendo muy bien, pero:

    √3 se van por simplificación porque estan multiplicando a todos y cada uno de los elementos del numerador y del denominador

    Si multiplicara a un solo miembro (porque estuvieran separados por sumas y restas), y no afectara a alguno de los miembros, la simplificación no se podría efectuar

    thumb_up0 voto/sflag
  • icon

    Adrián
    el 2/3/17

    Ayuda con este ejercicio porfavor

    replythumb_up0 voto/sflag
    icon

    Antonius Benedictus
    el 2/3/17


    thumb_up0 voto/sflag
  • icon

    Alberto Vanini
    el 2/3/17

    Hola, estaba mirando el vídeo de Derivada de una función 01 - Regla de la cadena y noté en el minuto 5:40 que David dice que la derivada de e^x es e^x y lo mismo para la derivada de una función. Según las tablas que manejo, la derivada de e^u es e^u*u´. Me pueden explicar si estoy equivocado? Muchas gracias. Alberto.

    replythumb_up0 voto/sflag
    icon

    Antonio
    el 2/3/17

    No estás equivocado

    La derivada de ex es e

     y la derivada de eu es u' · eu 

    thumb_up1 voto/sflag
  • icon

    Teresa
    el 2/3/17

    Antonio Benito, repasando el primer ejercicio me surgen varias dudas. 

    1.-) ¿Qué relación hay entre (√A)2=A y el cuadrado de esas raíces? ¿Cómo obtienes 1/2 √1/2? 

    - Subrayado en rojo-

    2.-) ¿Cómo se dividen esas fracciones?

    - Subrayado en azul-

    3.-) ¿De dónde sale la parte qué está subrayada en amarillo? ¿Y 2√2?

    4.-) Por último, antes de la solución, ¿por qué la raíz tiene índice 8? ¿De dónde sale 24?

    Gracias de antemano.


    replythumb_up0 voto/sflag
    icon

    Ángel
    el 2/3/17

    Si elevas A al cuadrado y efectúas su raíz (o viceversa), obtienes A

    Lo mismo pasa con la fracción 1/2 que multiplica a √1/2, es obtenida porque al elevarla al cuadrado y hacer la raíz se mantiene 1/2*√1/2

    thumb_up1 voto/sflag
    icon

    Teresa
    el 2/3/17

    Muchísimas gracias ,Maths. ¿Me puedes ayudar con las demás dudas? 

    thumb_up0 voto/sflag
    icon

    Ángel
    el 2/3/17

    El 2√2 pasa multiplicando al numerador 

    thumb_up1 voto/sflag
    icon

    Ángel
    el 2/3/17


    4√(24*2)4√24*4√2= 24√2

    thumb_up1 voto/sflag
    icon

    Ángel
    el 2/3/17


    Si no entiendes algo no dudes en preguntar

    thumb_up1 voto/sflag
    icon

    Teresa
    el 2/3/17

    Muchísimas gracias Maths. Tengo una última pregunta: en la última foto si √2 hubiera tenido otro índice se hace el m.c.m. de esas dos raíces, ¿no?

    thumb_up0 voto/sflag
    icon

    Ángel
    el 2/3/17

    Para simplificarlo sí...y es precisamente lo que hicimos en este ejercicio...observa que el radicando es 2 en la raíz cuadrada y el exponente de 2 (aunque no aparezca), 1... el querer pasar el radicando a potencia 8 (siendo esta 2), hay que multiplicar el radicando por 4 y ontenemos el 8 y de esta misma manera multiplicamos el 1 de la potencia por 4 y obtenemos

    thumb_up1 voto/sflag
    icon

    Teresa
    el 2/3/17

    Ahora sí, Maths. Todas las dudas aclaradas. ¡No sé cómo agradecertelo!

    thumb_up0 voto/sflag
  • icon

    gonzalo
    el 2/3/17
    flag


    hola! me podrían ayudar con este ejercicio de series de potencia, la verdad que es el único tema que no logré entender, saludos desde argentina, se los agradecería muchísimo!!!!


    replythumb_up0 voto/sflag
    icon

    Antonius Benedictus
    el 2/3/17

    Falta la mitad del enunciado.

    thumb_up1 voto/sflag
  • icon

    Facu Imfeld
    el 2/3/17

    Punto 1, alguien me puede ayudar? Gracias de antemano

    replythumb_up0 voto/sflag
    icon

    Antonius Benedictus
    el 2/3/17


    thumb_up0 voto/sflag
    icon

    Facu Imfeld
    el 2/3/17

    Genial Antonio, tengo un poco aclarado el problema, ¿podrías explicarme porque tomas el 0 como valor de b y no el 4?

    thumb_up0 voto/sflag
  • icon

    Álvaro
    el 2/3/17

    El sistema solar tiene 8 planetas pero existen planetas llamados exoplanetas orbitando alrededor de otras estrellas hasta noviembre de 2015 la NASA habia confirmado la existencia de 238 exoplanetas por cada planeta del sistema solar ademas de 7 exoplanetas más ¿cuantos exoplanetas se habian descubierto hasta noviembre de 2015?

    replythumb_up0 voto/sflag
    icon

    Antonio
    el 2/3/17
    flag

    238 · 8 + 7 = 1911

    thumb_up0 voto/sflag