Sea f una funcison lineal tal que f(5) = -1 y f(-5) = 4. Determine el criterio de su funcison
inversa.
Sera que me puedan explicar esto como se hace

Planteamos la expresión general de una función lineal: f(x) = m*x + b, luego tenemos en el enunciado:
f(5) = -1, reemplazamos en el primer miembro y queda la ecuación:
m*5 + b = - 1, ordenamos factores en el primer miembro y queda:
5*m + b = - 1 (1);
f(-5) = 4, reemplazamos en el primer miembro y queda la ecuación:
m*(-5) + b = 4, ordenamos factores en el primer miembro y queda:
- 5*m + b = 4 (2).
Luego, restamos miembro a miembro en las ecuaciones señaladas (1) (2), observa que tenemos cancelación de términos opuestos, y queda:
10*m = - 5, hacemos pasaje de factor como divisor y queda: m = - 1/2.
Luego, sumamos miembro a miembro en las ecuaciones señaladas (1) (2), observa que tenemos cancelación de términos opuestos, y queda:
2*b = 3, hacemos pasaje de factor como divisor y queda: b = 3/2.
Luego, la expresión de la función lineal queda:
f(x) = - (1/2)*x + 3/2.
Luego, planteamos:
f(x) = y, sustituimos y queda:
- (1/2)*x + 3/2 = y, multiplicamos por -2 en todos los términos de la ecuación y queda:
x - 3 = - 2*y, hacemos pasaje de término y queda:
x = - 2*y + 3, luego permutamos variables y queda:
y = - 2*x + 3, luego tenemos que la expresión de la función inversa es:
f-1(x) = - 2*x + 3.
Espero haberte ayudado.
Simplique la siguiente operacison de polinomios
(x + 1)(x - 1) - (x + 1)2
Me podrían explicar este ejercicio

Si la expresión del enunciado es:
(x + 1)(x - 1) - (x + 1)*2 = extraemos factor común (x + 1) y queda:
= (x + 1)*( x - 1 - 2) = reducimos términos semejantes en el segundo factor y queda:
= (x + 1)*(x - 3), que es la expresión a la que llegó el colega Edwin en su desarrollo.
Y si la expresión del enunciado es:
(x + 1)*(x - 1) - (x + 1)2 = extraemos factor común (x + 1) y queda:
= (x + 1)*( (x - 1) - (x + 1) ) = resolvemos signos en el segundo factor y queda:
= (x + 1)*(x - 1 - x - 1) = cancelamos términos opuestos y reducimos términos semejantes en el segundo factor, y queda:
= (x + 1)*(-2) = ordenamos factores y queda:
= - 2*(x + 1).
Espero haberte ayudado.

Me encantaría ayudarte, pero no respondo dudas universitarias que no tengan que ver específicamente con los videos que ya he grabado como excepcion. O de otras asignaturas que no sean matemáticas, física y química. Lo siento de corazón… Espero lo entiendas
Ojalá algun unicoo universitario se anime a ayudarte (de hecho lo ideal es que todos los universitarios intentarais ayudaros los unos a los otros)
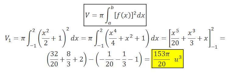
buenas noches, podría alguien explicarme de manera sencilla cómo se hallan los volúmenes de un cuerpo de revolución? Antes no entraba en 2 de bachillerato pero ahora con la LOMCE lo tenemos que dar y no lo entiendo en clase y no puedo recurrir a mis apuntes del año pasado pues no lo di (soy repetidora). He visto que David tiene algún vídeo pero es dirigido a universidad y no quiero liarme mucho por lo que no los he mirado.
Ojalá puedan ayudarme, gracias
Estos son los ejercicios del examen
Hola. Quiera que alguien me ayude con estoy cálculos de notación científica. El resultado tiene que ser con tres cifras significativas. Gracias !!![]()

Vamos con una orientación
a) Llamamos N al numerador, y llamamos D al denominador.
N = 5,433*102 - 4,3*102 + 23,2*102 = extraemos factor común = (5.433 - 4,3 + 23,2)*102= 24,333*102;
D = 8,5*10-2 - 456*10-5 = multiplicamos por 103 y por 10-3 en el primer término y asociamos factores:
= (8,5*103)*10-2 *10-3 -- 456*10-5 = resolvemos factores agrupados y producto de potencias en el primer término:
= 8500*10-5 - 456*10-5 = extraemos factor común:
= 8044*10-5 = multiplicamos por 10-3 y por 103 y asociamos factores:
= (8044*10-3)*103*10-5 = resolvemos factores agrupados y producto de potencias = 8,044*10-2.
Luego, pasamos a la expresión del enunciado:
(5,433*102 - 4,3*102 + 23,2*102)/(8,5*10-2 - 456*10-5) = reemplazamos:
= 24,333*102/8,044*10-2= agrupamos como producto de fracciones:
= (24,333/8,044)*(102/10-2) = resolvemos (expresamos el primer factor con tres cifras significativas:
≅ 3,02*104.
Los demás ejercicios puedes abordarlos en forma similar, haz el intento, y si te es preciso, no dudes en volver a consultar.
Espero haberte ayudado.
Como sería log x + log y=3
log x/y=-1

Recuerda la propiedad del logaritmo de un cociente: log(x/y) = logx - logy, que puedes aplicar en la segunda ecuación.
Luego, planteamos el sistema de ecuaciones logarítmicas:
logx + logy = 3
logx - logy = -1
a) Sumamos miembro a miembro en ambas ecuaciones (observa que tenemos cancelación de términos opuestos) y queda:
2*logx = 2, luego haces pasaje de factor como divisor y queda:
logx = 1, luego compones con la función inversa del logaritmo en base 10 y queda: x = 10.
b) Restamos miembro a miembro en ambas ecuaciones (observa que tenemos cancelación de términos opuestos) y queda:
2*logy = 4, luego hacemos pasaje de factor como divisor y queda:
logy = 2, luego componemos con la función inversa del logaritmo en base 10 y queda: y = 100.
Luego, puedes verificar:
logx + logy = log(10) + log(100) = 1 + 2 = 3,
log(x/y) = log(10/100) = log(1/10) = log(1) - log(10) = 0 - 1 = - 1.
Espero haberte ayudado.
Hola.
Disculpen la molestia pero me podrían ayudar con este ejercicio de estadística descriptiva:
1. Los siguientes datos correspondes al peso (kg) y la talla(cm) de un grupo de estudiantes de sociología:
PESO(kg)
60 48 60 60 56 43 51 72 60 95 50 59 50 83 59 62 50 68 60 70
62 43 48 53 62 58 57 62 50 58 78 87 62 60 50 89
TALLA(cms)
160 150 172 158 155 152 170 174 173 188 159 160 161 180 157
169 155 167 155 168 154 168 170 165 164 156 165 164 162 163
176 174 168 178 153 178
Hallar la media, la desviación estándar y el coeficiente de variación de PESO y TALLA. Analizar cada resultado.
Construir una distribución de frecuencias para PESO y un gráfico de cajas y bigotes para TALLA.
De antemano mucha gracias, me interesa sobretodo una idea sobre los cálculos que deben realizarse con los gráficos no tengo problemas.

Luis Felipe: Los ejercicios de Descriptiva, aunque son muy fáciles, resultan muy engorrosos y nos llevan mucho tiempo. Lo sentimos.
Visiona los vídeos de UNICOOS.
Estadística