Hola! Alguien sabe si hay algun video sobre la variacion porcentual y los porcentages?
Gracias.
Mira este video y los relacionados: http://www.unicoos.com/video/matematicas/2-eso/estadistica/tablas-y-graficos-estadisticos/estadistica-diagrama-de-barras-y-sectores

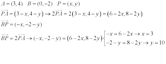
Observa el segundo miembro en tu tercera línea:
< x - 0 , y + 2 > = < 6 - 2x , 8 - 2y >.
Ahora puedes igualar componente a componente, y tienes el sistema de ecuaciones:
x - 0 = 6 - 2x
y + 2 = 8 - 2y,
luego haces pasajes de términos en ambas ecuaciones y queda:
3x = 6, de donde puedes despejar: x = 2,
3y = 6, de donde puedes despejar: y = 2.
Luego, concluimos que las coordenadas del punto buscado son: P(2,2).
Espero haberte ayudado.
El ejercicio es solucionar esta ecuación de primer grado: (2x)/15 - (3x-5)/20 = x/5 - 3
Se la solución y los pasos por el libro. Pero en este paso:
8x-9x-15=12x - 180 (tras multiplicar toda la ecuación por el m.c.m(15,20,5) = 60 y simplificar)
Hace esto: 8x-3(3x-5) = 12x-180 --> 8x-9x+15 = 12x -180 para cambiar de signo al 15.
Mi pregunta es, ¿cómo se que debo hacer eso? Porque sin mirar la solución yo hice: 8x-9x-15 =12x-180 --> -x-15 =12x-180, etc y por supuesto el resultado fue incorrecto. ¿Qué regla o qué pista debo seguir para saber cuándo debo hacer eso de cambiar el signo? Gracias, me ayudáis mucho.

Te ayudo con el 6i)
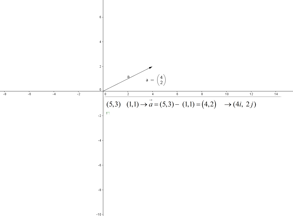
1) a+b
Identifica las coordenadas x e y de cada vector y súmalas entre sí. Checa
a=(-3,3) coordenada x=-3
Coordenada y=3
b=(-4,-3) coordenada x=-4
Coordenada y=-3
Resuelve
a+b = (-3,3)+(-4,-3)=(-3-4,3-3)=(-7,0)
2) c-d
Idéntico proceso a como hicimos el 1 pero restas las componentes del vector
c=(1,5) d=(-3,1)
c-d=(1,5)-(-3,1)=(1-(-3),5-1)=(4,4)
3) d-b
d=(-3,1)
b=(-4,-3)
d-b=(-3,1)-(-4,3)=(-3-(-4),1-(-3)=(1,4)
4) u+2w
u = (2,-1)
w=(1,2)
multiplica el vector w por 2 haciendo propiedad distributiva
2w = 2(1,2) =(2,4)
Luego resuelves
u+2w = (2,-1)+(2,4)=(2+2,-1+4)=(4,3)
5) u-3w
Idéntico al 4 pero restas y multiplicas por 3
3w=3(1,2)=(3,6)
u-3w=(2,-1)-(3,6)=(2-3,-1-6)=(-1,-7)
buennos dias unicoos perdon por ser tan insistente pero me encuentro perdida respecto a un punto , tengo que graficar la siguiente funcion;
-X - [X]
ya intente hacerlo pero me ha quedado mal, sera que me pueden dar algunos pasos o indicar por donde debo empezar
No entiendo como resolverlo, podrian darme una mano ? Hasta ahora obtuve el vector generado por los dos puntos, me da (0,1,2) e hice el producto vectorial entre los planos que generan r para obtener el v director, me dio v=(-k,-k,1). Luego de eso no se como seguir