∛(x-2) = x
He elevado ambos lados al cubo. Me sale una ecuación de tercer grado: x³ - x + 2= 0 La intento hacer por Ruffini y ni -1,1,-2,2 salen exactos. El libro dice que la solución es x=2
Socorro! No se en qué paso fallo. Gracias por sus explicaciones!
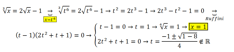
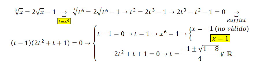
³√x = 2*√x -1 (el 1 fuera de la raiz) Me piden que resuelva esa ecuación aplicando binomio de Newton y Ruffini, ¿me ayudáis?
Lo he intentado haciendo esto:
1. He elevado todo al cubo para quitar la raíz de la izquierda. x= (2√x -1)³
2. Lo he desarrollado con el binomio de Newton. x= 8√x³ - 12x + 6√x - 1
3. He elevado todo al cuadrado para quitar las raíces de la derecha. x²= 64x³+144x²+36x+1
He hecho la ecuación de la derecha con Ruffini y no me da exacto. ¡Estoy atascada!

Observa que x debe tomar valores positivos, y observa también que el mínimo común índice entre las raíces es 6, por lo que puedes plantear la sustitución (cambio de incógnita): x = w6 (1).
luego sustituyes y la ecuación queda:
∛(w6) = 2*√(w6) - 1, simplificas índices y exponentes y queda:
w2 = 2*w3 - 1, haces pasajes de términos y queda:
- 2*w3 + w2 + 1 = 0, multiplicas por - 1 en todos los términos de la ecuación y queda:
2*w3 - w2 - 1 = 0.
Luego, observa que w1 = 1 es una solución de la ecuación, por lo que aplicas la Regla de Ruffini:
2 -1 0 -1
1 2 1 1
2 1 1 0
y tienes que el polinomio del primer miembro queda factorizado, por lo que la ecuación queda::
(w - 1)*(2w2 + w + 1) = 0.
Luego, por anulación de un producto, tienes dos opciones:
1)
w - 1 = 0, de donde despejas: w = 1, luego sustituyes en la ecuación remarcada y señalada (1) y tienes: x6 = 1,
de donde despejas: x = 6√(1), de donde tenemos (recuerda que x debe tomar valores positivos): x = 1.
2)
2w2 + w + 1 = 0, que es una ecuación polinómica cuadrática que puedes probar que no tiene soluciones reales.
Espero haberte ayudado.
Hola , buen día ..
Alguien de favor ayudeme con el siguiente sistema de ecuaciones. Pide algo especifíco, con preguntas así me lío. Por fa
¿Cómo puedo saber que hacer si me piden que el sistema sea inconsistente?
Gracias de antemano
alguien ayudeme con este ejercicio porfavor llevo dias sin poder hacerlo nose como sacar la region de integracion de la eliipse en coordenadas polares porfavor ayuda :(![]()

Tienes la elipse cuya ecuación puede escribirse: (2x)2 + (y - 1)2 = 22, luego proponemos la parametrización:
2x = 2cost
y - 1 = 2sent
con 0 ≤ t ≤ 2π;
luego, podemos despejar:
x = cost, de donde derivamos: xt = - sent,
y = 2sent + 1, de donde derivamos: yt = 2cost,
con 0 ≤ t ≤ 2π.
Luego, planteamos la ecuación vectorial de la trayectoria:
r(t) = < cost , 2sent + 1 >, derivamos y queda:
r ' (t) = < - sent , 2cost >,
luego planteamos la composición entre la función vectorial y el campo:
F(r(t)) = < 2sent + 1 + 3cost , 2sent + 2 - cost >;
luego planteamos:
F(r(t)) • r ' (t) = sustituimos:
= < 2sent + 1 + 3cost , 2sent + 2 - cost > • < - sent , 2cost > = desarrollamos el producto escalar:
= (2sent + 1 + 3cost)*(- sent) + (2sent + 2 - cost)*2cost = distribuimos en ambos términos:
= - 2sen2t - sent - 3sent*cost + 4sent*cost + 4cost - 2cos2t = reducimos términos semejantes, ordenamos y agrupamos términos:
= - 2(sen2t + cos2t) - sent + 4cost + sent*cost = aplicamos la identidad pitagórica en el primer término:
= - 2 - sent + 4cost + sent*cost .
Luego, planteamos el trabajo del campo vectorial:
W = ∫C F• dr = parametrizamos:
= ∫ F(r(t)) • r ' (t) * dt (para evaluar entre 0 y 2π) = sustituimos:
= ∫ (- 2 - sent + 4cost + sent*cost)*dt = integramos (indicamos con corchetes que debemos evaluar con la Regla de Barrow entre 0 y 2π):
= [ - 2t + cost + 4sent + (1/2)sen2t ] = evaluamos:
= (- 4π + 1 + 0) - (0 + 1 + 0) =
= - 4π + 1 - 1 = - 4π.
Espero haberte ayudado.