Hola María. No se que necesitas resolver. Yo supongo que saber el valor de x.
Acá te lo explica paso a paso y esta muy claro. Espero haberte ayudado
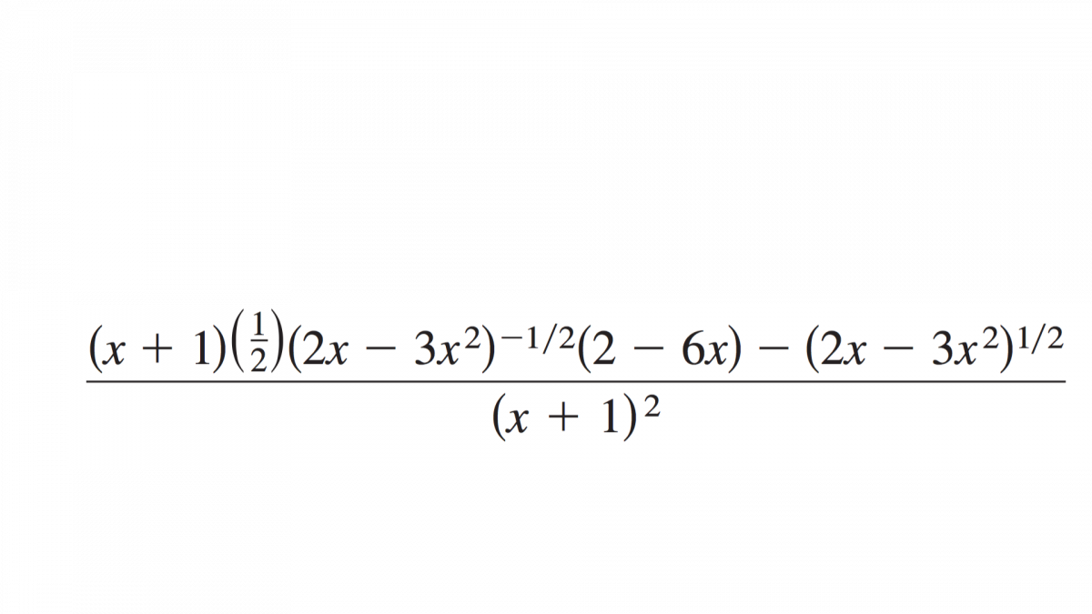
https://www.symbolab.com/solver/step-by-step/%5Cfrac%7B%5Cleft(x%2B1%5Cright)%5Cleft(%5Cfrac%7B1%7D%7B2%7D%5Cright)%5Cleft(2x-3x%5E%7B2%7D%5Cright)%5E%7B-%5Cfrac%7B1%7D%7B2%7D%7D%5Cleft(2-6x%5Cright)-%5Cleft(2x-3x%5E%7B2%7D%5Cright)%5E%7B%5Cfrac%7B1%7D%7B2%7D%7D%7D%7B%5Cleft(x%2B1%5Cright)%5E%7B2%7D%7D%3D0
Hola Unicoos, cómo cálculo el cos (u,v)? Mi profesora define la proyección de un vector como |u|•cos(u,v)
Tengo examen mañana.
Muchas GRACIAS

Hola! Justamente nosotros nos saltamos esta parte del tema de vectores (a proyecciones me refiero). Pero creo que te podré ayudar, para calcular el cos de u,v tienes que usar la siguiente formula :
cos α = (u·v)/|u|·|v|
Tendrás que usar la función de cos-1 de la calculadora, espero haberme explicado!

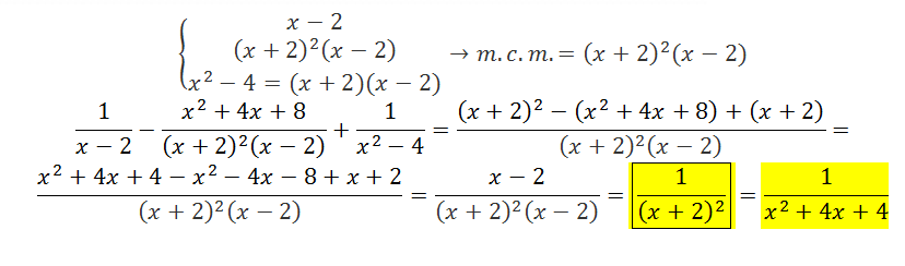
Establecemos un sistema de referencia con un eje vertical, positivo hacia arriba, con origen al nivel del mar, y expresamos el tiempo en minutos y las posiciones en metros.
Luego, tenemos que la altura inicial (para t = 0) es y = 5, y a partir del enunciado tenemos la ecuación de movimiento (observa que la variable t toma valores estrictamente positivos):
y(t) = at2 + bt + c, donde a, b y c son números reales a determinar;
evaluamos para t = 0:
y(0) = c = 5;
evaluamos para t = 1:
y(1) = a*12 + b*1 + c = 10, resolvemos términos y queda: a + b + c = 10;
evaluamos para t = 2:
y(2) = a*22 + b*2 + c = 5, resolvemos términos y queda: 4a + 2b + c = 5.
Luego, con las tres ecuaciones remarcadas tenemos el sistema:
c = 5
a + b + c = 10
4a + 2b + c = 5
reemplazamos el valor de c en las dos últimas ecuaciones, hacemos pasajes de términos y queda:
a + b = 5
4a + 2b = 0, de aquí despejamos: b = - 2a (1),
sustituimos en la primera ecuación y queda:
- a = 5, de aquí despejamos: a = - 5,
reemplazamos en la ecuación señalada (1) y queda: b = 10.
Luego, reemplazamos en la ecuación de movimiento y queda:
y(t) = - 5t2 + 10t + 5.
Luego, si entendemos que el tiempo de vuelo comienza con el lanzamiento del cuerpo y termina cuando llega al agua, planteamos:
y(t) = 0, sustituimos y queda:
- 5t2 + 10t + 5 = 0, dividimos por -5 en todos los términos de la ecuación y queda:
t2 - 2t - 1 = 0, que es una ecuación polinómica cuadrática cuyas soluciones son:
1) t = 1 - √(2) ≅ - 0,41, que no tiene sentido para este problema;
2) t = 1 + √(2) ≅ 2,41 (en minutos, que es el tiempo que transcurre desde el lanzamiento del cuerpo hasta su llegada al agua).
Espero haberte ayudado.
hola alguien sabe como hacer senα=cosα? porfa nivel de 4 de ESO

Recuerda la identidad trigonométrica: sena = √(1 - cos2a), luego sustituyes en la ecuación del enunciado y queda:
√(1 - cos2a) = cosa, haces pasaje de raíz como potencia y queda:
1 - cos2a = cos2a, haces pasajes de términos y queda:
- 2cos2a = - 1, haces pasaje de factor como divisor y queda:
cos2a = 1/2, haces pasaje de potencia como raíz y tienes dos opciones:
1) cosa = 1/√(2), al que corresponde: sena = 1/√(2), que corresponde al valor angular: a = 45°;
2) cosa = -1/√(2), al que corresponde: sena = -1/√(2), que corresponde al valor angular: a = 225°.
Espero haberte ayudado.