Foro de preguntas y respuestas de Matemáticas

logo beUnicoos
Los foros de unicoos se han unificado en nuestra nueva plataforma beUnicoos. Para dejar nuevas preguntas deberás hacerlo allí, donde además podrás encontrar nuevas asignaturas y herramientas para ayudarte más con tus estudios.

  • icon

    Anthony Andujar
    el 12/2/17


    replythumb_up0 voto/sflag
    icon

    Antonius Benedictus
    el 12/2/17

    Bien, Anthony.



    thumb_up0 voto/sflag
    icon

    Anthony Andujar
    el 12/2/17

    Profesor es Decir que queda igual el resultado ? a 60 ?

    thumb_up0 voto/sflag
    icon

    Antonius Benedictus
    el 12/2/17

    Claro.

    thumb_up1 voto/sflag
  • icon

    D.dani
    el 12/2/17

    buenas tardes  me gustaría saber  como puedo hacer los siguientes ejercicios que me cayeron en un examen por que todavía me quedo a medias en el proceso:

     (1.5 ptos)Calcula el valor de a para que las rectas r: 2x-y-4=0 y s: ax+3y+2=0 sean: 

    a) perpendiculares; 

    b) formen un ángulo de 45o.




     (1.5 ptos)Calcula el punto simétrico de A(4,3) respecto a la recta r: 3x-2y-13=0


    (1.5 ptos)Halla el punto de la recta 2x-y+18=0 que equidiste de los puntos (3,-1) y (7,3).



    6. (2.5 ptos) Sea el triángulo de vértices A(3,5), B(1,1) y C(5,3).

    a) Calcula la ecuación de la atura desde el vértice A.

    b) La ecuación de  la altura desde el vértice B y el ortocentro.



    Sea el triángulo isósceles ABC cuyo lado desigual es AB. Calcula el vértice C  si sabemos

    los valores de A(-2,2) y B(4,0) y que C pertenece a la recta r: 3x+3y-22=0.


    muchas gracias por su atención! espero que alguien me pueda ayudar , suspendí ese examen y en el siguiente aparecerán ejercicios parecidos, y como no lo sepa hacer...




    replythumb_up0 voto/sflag
    icon

    Antonius Benedictus
    el 12/2/17

    Va el primero, Dani. No puedes subir todos de golpe. Hay mucho trabajo y mucha gente esperando ayuda. Poco a poco.


    thumb_up1 voto/sflag
    icon

    Antonius Benedictus
    el 12/2/17

    El 2º:


    thumb_up1 voto/sflag
  • icon

    Luis
    el 12/2/17

    Resolver el siguiente sistema de ecuaciones:

    x y = 60

    x2+y2=169

    replythumb_up0 voto/sflag
    icon

    Antonius Benedictus
    el 12/2/17


    thumb_up0 voto/sflag
  • icon

    tina
    el 12/2/17

    Teneis videos de potenciacion de numeros complejos?

    replythumb_up0 voto/sflag
    icon

    David
    el 19/2/17

  • icon

    Marina
    el 12/2/17

    Ayuda con el ejercicio 14 por favor.

    replythumb_up0 voto/sflag
    icon

    Antonius Benedictus
    el 12/2/17


    thumb_up1 voto/sflag
  • icon

    Paula
    el 12/2/17


    replythumb_up0 voto/sflag
    icon

    Antonius Benedictus
    el 12/2/17


    thumb_up0 voto/sflag
  • icon

    Facundo Gonzalez
    el 12/2/17

    Hola, se que es facil pero me cuesta cuando me lo ponen en problemas. Cómo serían estos dos? El primer lo había planteado (2x+4)2 = (2x+2)2 -76 pero cuando desarrollo no me da, y no encuentro mi error. El segundo no sé por dónde empezar. Gracias por ayudar. 


    replythumb_up0 voto/sflag
    icon

    Guillem De La Calle Vicente
    el 12/2/17


    thumb_up1 voto/sflag
    icon

    Guillem De La Calle Vicente
    el 12/2/17


    thumb_up1 voto/sflag
  • icon

    Sarqui
    el 12/2/17

    ¿Como se hace eso? Porque Ln0 no existe 

    replythumb_up0 voto/sflag
    icon

    Antonius Benedictus
    el 12/2/17


    thumb_up0 voto/sflag
  • icon

    Anthony Andujar
    el 12/2/17

    Buenas tengo una Duda aca, me mandan Allar el producto mixto para ,calcular el volumen  Paralelepipedo    En lados Adyancentes   ( U, V, W)   U <1,3,1>    V < -0,5,5     W<4,0 ,4> , mi duda es la Siguiente  si tiene lados  Adyacentes el resultado   , El resultado seria igual que el volumen mixto  o alli cambia como lo resolveria el tal caso ?

    replythumb_up0 voto/sflag
    icon

    Antonius Benedictus
    el 12/2/17

    Pon foto del enunciado original, por favor.

    thumb_up1 voto/sflag
  • icon

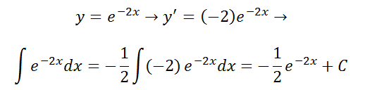
    nvalero13
    el 12/2/17

    Co

    ¿Cómo puedo resolver esta integral sin usar el método de substitución?

    replythumb_up0 voto/sflag
    icon

    Guillem De La Calle Vicente
    el 12/2/17


    thumb_up0 voto/sflag
    icon

    Antonius Benedictus
    el 12/2/17


    thumb_up0 voto/sflag