Foro de preguntas y respuestas de Matemáticas

logo beUnicoos
Los foros de unicoos se han unificado en nuestra nueva plataforma beUnicoos. Para dejar nuevas preguntas deberás hacerlo allí, donde además podrás encontrar nuevas asignaturas y herramientas para ayudarte más con tus estudios.

  • icon

    Facundo Gonzalez
    el 12/2/17

    Estos me tienen confundidos. Quien pueda ayudar le agradezco muchísimo!


    replythumb_up0 voto/sflag
    icon

    Antonius Benedictus
    el 12/2/17


    thumb_up1 voto/sflag
  • icon

    Sebastián
    el 12/2/17

    Ayuda con este otro. Gracias de antemano. Saludos cordiales.


    replythumb_up0 voto/sflag
    icon

    Antonius Benedictus
    el 12/2/17


    thumb_up0 voto/sflag
  • icon

    Sebastián
    el 12/2/17

    Ayuda con este ejercicio.


    replythumb_up0 voto/sflag
    icon

    Antonius Benedictus
    el 12/2/17


    thumb_up0 voto/sflag
  • icon

    emerson acosta
    el 12/2/17

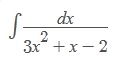
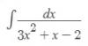
    Esta integral hay que resolverla por sustitución trigonométrica.

    he estado intentando resolver esta integral, a mi me da (2/5)Ln Ιcscθ  - cotθΙ ( los valores de cada expresión trigonométrica salen de la sustitución trigonométrica), no se en que me estare equivocando en la completacion de cuadrados. 

    Segun mi guia es: 1/5 [ ln(3x-2)- ln(x-1) ]



    replythumb_up0 voto/sflag
    icon

    Axel Morales Piñón.
    el 12/2/17

    La integración adecuada es por fracciones parciales Emerson. 

    thumb_up0 voto/sflag
    icon

    Axel Morales Piñón.
    el 12/2/17


    thumb_up0 voto/sflag
  • icon

    Fernando
    el 12/2/17

    ¿Alguien sabe hacer este ejercicio?


    replythumb_up0 voto/sflag
    icon

    Antonius Benedictus
    el 12/2/17


    thumb_up0 voto/sflag
  • icon

    Mario
    el 12/2/17

    Ayuda con este otro ejercicio, por favor:


    replythumb_up0 voto/sflag
    icon

    Antonius Benedictus
    el 12/2/17


    thumb_up0 voto/sflag
    icon

    Mario
    el 12/2/17

    Muchas gracias, Antonio.

    thumb_up0 voto/sflag
  • icon

    Mario
    el 12/2/17
    flag

    Demuestra que si una matriz G de n x n es positiva semidefinida y tiene rango r, entonces G es la matriz de Gram de alguna matriz A de r x n.

    replythumb_up0 voto/sflag
    icon

    Antonius Benedictus
    el 12/2/17

    Explícanos Mario en qué colegio o instituto dais esto en bachiller.

    thumb_up0 voto/sflag
    icon

    Mario
    el 12/2/17

    Este ejercicio me lo dio mi profesor como una preparación para la Pau.

    thumb_up0 voto/sflag
  • icon

    Ana
    el 12/2/17

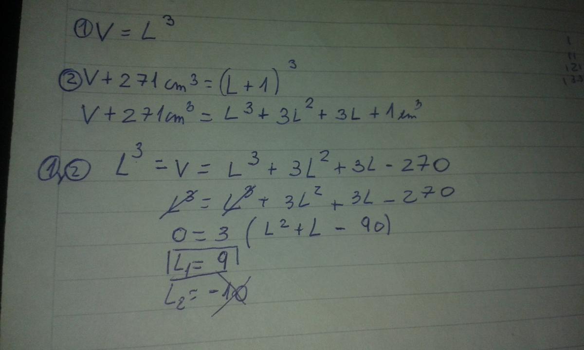
    Una ayuda con este otro:

    Al aumentar en 1 cm la arista de un cubo su volumen aumenta en 271 cm3. ¿Cuánto mide la arista?

    replythumb_up0 voto/sflag
    icon

    Fran Foce
    el 12/2/17


    thumb_up0 voto/sflag
  • icon

    Ana
    el 12/2/17

    Una ayuda con este problema. Gracias de antemano.

    Dos árboles de 15 m y 20 m de altura están a una distancia de 35 m. En la copa de cada uno hay una lechuza al acecho. De repente, aparece entre ellos un ratoncillo, y ambas lechuzas se lanzan a su captura a la misma velocidad, llegando simultáneamente al lugar de la presa. ¿A qué distancia de cada árbol apareció el ratón?

    replythumb_up0 voto/sflag
    icon

    Antonius Benedictus
    el 12/2/17


    thumb_up0 voto/sflag